Vitalik Buterin:预测市场将成为越来越重要的以太坊应用

2021-02-20 00:02:20

注:原文作者是以太坊联合创始人Vitalik Buterin,在这篇文章中,他回顾了自己参与预测市场的经历,并总结了当前预测市场所面临的4大问题。Vitalik还预计称,未来几年,预测市场将成为越来越重要的以太坊应用,而2020年的美国总统选举仅仅是一个开始,接下来还有条件预测、决策以及其他应用。

Vitalik Buterin:预测市场将成为越来越重要的以太坊应用

特别感谢Jeff Coleman、Karl Floersch和Robin Hanson的批评反馈以及评论。

警告:我表达了一些政治观点。

预测市场是我多年来一直感兴趣的话题,它允许任何人对未来事件下注,并利用这些下注的几率,来作为这些事件的预测概率的可信中立来源,这是一种迷人的应用。与之密切相关的想法(比如futarchy),一直让我倍感兴趣,因为它是可以改善治理和决策的创新工具。正如Augur、Omen以及最近的PolyMarket(注:这三个应用都建立在以太坊上)所显示的那样,预测市场也是区块链的一个迷人应用。

而在2020年美国总统大选期间,似乎预测市场终于进入了人们的视线,这些基于区块链的市场,从2016年接近0开始增长到2020年数百万美元的成交量。作为一个非常有兴趣看到以太坊应用跨越鸿沟并被广泛采用的人,这当然引起了我的兴趣。一开始,我倾向于简单地观察,而不是亲自参与:我不是美国选举政治方面的专家,那为什么我要期望我的观点比其他已在交易的人的观点更正确呢?但在我的Twitter圈子里,我看到很多我尊敬的非常聪明的人,他们认为市场事实上是非理性的,如果可以的话,我应该参与进来,并与他们对赌。最终,我被说服了。

我决定在我帮助创建的区块链应用上做一个实验:我于8月1日在Augur上购买了价值2000美元的NTRUMP(如果特朗普输了,持有这种代币就可以获得1美元)。当时我并不知道,我的仓位最终会增加到308249美元,并为我赢得超过56803美元的利润。而在接下来的两个月里所发生的事情,被证明是一个关于社会心理学、专业知识、套利和市场效率极限的引人入胜的案例研究,其对任何对经济制度设计的可能性有着浓厚兴趣的人都有着重要的影响。

选举前

Vitalik Buterin:预测市场将成为越来越重要的以太坊应用

我对这次选举的第一次打赌,实际上根本不是在区块链上。去年7月份,当Kanye宣布竞选总统时,一位我通常相当尊重的政治理论家立即在Twitter上声称,他相信这将分裂反对特朗普的选票,并导致特朗普获胜。我记得当时我在想,他的这一观点过于自信,甚至可能是过度内化启发式的结果(即如果一个观点看起来是聪明和与众不同的,那么它很可能是正确的)。所以,我当然提出要赌200美元,我自己赌的是无聊的支持拜登的观点,他欣然地接受了。

9月份的选举再次引起了我的注意,这次是预测市场引起了我的注意。市场给了特朗普近50%的获胜机会,但我看到我的Twitter圈里有许多非常聪明的人指出,这个数字似乎太高了。这当然导致了大家所熟悉的“有效市场辩论”:如果你以0.52美元的价格购买一种代币,当特朗普输掉后,它可以给你1美元,而特朗普实际输的几率要高得多,为什么人们不直接进来买代币,直到价格涨得更高?如果没有人这么做,你凭什么认为自己比别人聪明?

在选举日之前,Ne0liberal的Twitter帖子做了出色的工作,其总结了当时预测市场准确的情况。简而言之,大多数人在2020年之前使用的(非区块链)预测市场具有各种限制,使得人们很难以少量现金参与。结果是,如果一个非常聪明的个人或专业组织看到他们认为错了的可能性,那么他们将价格推向他们认为正确的方向的能力将非常有限。

文章指出的最重要的限制是:

  1. 每个人可下注的低限额(低于1,000美元);
  2. 高额费用(例如PredictIt收取5%的提款费);

这就是我9月份我反对ne0liberal的地方:尽管乏味的旧世界中心化预测市场可能有低限制和高收费问题,但加密货币市场却没有!在Augur或Omen上,如果某人认为某个结果代币的价格太低或太高,则可买卖多少是没有限制的。然而,基于区块链的预测市场的价格表现却与PredictIt是同步的。如果市场真的因为高收费和低交易限制,从而阻止了冷静的交易者超过过分乐观的交易者而高估了特朗普,那么为什么没有这些问题的区块链市场,会显示出同样的价格呢?

Vitalik Buterin:预测市场将成为越来越重要的以太坊应用

我的Twitter朋友对此的主要回应是,基于区块链的市场是非常利基的,参与者很少,特别是很少有人对政治有太多的了解。这似乎有道理,但我对这一论点不太有信心。所以当时我赌2000美元特朗普会输,但没有进一步下注。

选举时

然后选举发生了,在最初的恐慌中,特朗普首先赢得了比我们预期更多的席位,但拜登最终成为了赢家。就我所知,选举本身是否验证或驳斥了预测市场的效率,是一个很容易解释的话题。一方面,通过标准的贝叶斯公式应用,我应该降低我对预测市场的信心,至少相对于Nate Silver而言。预测市场给了拜登60%的胜算,Nate Silver给了拜登90%的胜算。鉴于拜登真的赢了,这就证明我生活在一个Nate给出更正确答案的世界里。

但另一方面,你可以做一个案例,其中预测市场更好地估计了胜利的边缘情况。Nate的概率分布的中位数,大约是538张选票中有370张投给了拜登:

Vitalik Buterin:预测市场将成为越来越重要的以太坊应用

特朗普市场没有给出概率分布,但是如果你不得不从统计数据“特朗普获胜的40%机会”中猜出概率分布,你可能会给拜登提供大约300 张投票 。而实际结果是306,因此,在我看来,预测市场 Vs Nate的净得分是含糊不清的。

选举后

但当时我无法想象的是,选举本身只是一个开始。大选后几天,拜登被各大组织甚至少数外国政府宣布为胜利者。正如所料,特朗普对选举结果提出了各种法律挑战,但这些挑战很快都失败了。但在那一个多月的时间里,NTRUMP代币的价格一直维持在85美分!

一开始,人们似乎有理由猜测,特朗普有15%的机会推翻选举结果,毕竟,他任命了三名最高法院法官,而此时党派之争加剧。然而,在接下来的三个星期里,越来越明显的是,挑战正在失败,特朗普获胜的希望在我看来一天比一天渺茫,但NTRUMP代币的价格却没有改变(事实上,它甚至短暂地降到了0.82美元左右)。12月11日,也就是大选后5个多星期,最高法院果断一致否决了特朗普推翻投票的企图,而NTRUMP的价格终于上涨……达到了0.88美元。

就在11月份,我终于确信市场怀疑论者是对的,于是我投入其中,自己下注特朗普会输。这个决定并不关乎金钱,毕竟,仅仅两个月后,我仅凭持有狗狗币就可以赚到很多钱,但我选择将它们捐赠给了GiveDirectly。更确切地说,我不仅仅是作为一个观察者,而是作为一个积极的参与者来参与实验,这有助于提高我个人对为什么其他人还没有在我之前购买NTRUMP代币的理解。

操作流程

我在Catnip(这是一个将Augur预测市场与Balancer恒定函数做市商结合在一起的前端用户界面)上购买了我的NTRUMP代币。迄今为止,Catnip是进行这些交易的最简单的界面,我认为这极大地促进了Augur的可用性。

通过Catnip下注特朗普会输的方法有两种:

  1. 使用DAI直接在Catnip上购买NTRUMP代币;
  2. 使用Foundry来访问Augur功能,其允许你将1个DAI转换为1 NTRUMP + 1 YTRUMP + 1 ITRUMP(这里的“I”代表“无效”,稍后会详细介绍),然后在Catnip上出售YTRUMP;

起初,我只知道第一种选择。但是后来我发现Balancer为YTRUMP提供了更多的流动性,因此我切换到了第二种选择。

还有另一个问题:我没有任何DAI,我只有ETH,我可以选择卖掉我的ETH以获得DAI,但我不想因此而动我的ETH持仓。如果我赢得了对特朗普的50,000美元下注,但同时因ETH价格变动而损失了500,000美元,那将是一种耻辱。因此,我决定通过在MakerDAO上开设抵押债务头寸(CDP,现在也称为“金库”)来保持我的ETH敞口不变。

CDP是生成DAI的方式:用户将其ETH存入智能合约,并被允许提取不超过所投入ETH价值2/3新生成的DAI,当他们返回相同金额的DAI,再加上一笔额外的利息(目前为3.5%)时就可以提回他们抵押的ETH。如果你存入的ETH抵押品的价值跌至借入DAI价值150%以下,那么任何人都可以进入并“清算”这个金库,强行出售掉你抵押的ETH以购回DAI,并向你收取高额罚款。因此,在价格突然波动的情况下,具有高抵押率是一个好主意。我每提取1美元,其CDP中就有3美元以上的ETH。

下图就是我的整个操作流程。

Vitalik Buterin:预测市场将成为越来越重要的以太坊应用

我做了很多次,Catnip的滑点,意味着我通常一次最多只能进行约5,000至10,000美元的交易,这样价格就不会变得对我不利(当我跳过Foundry并直接用DAI购买NTRUMP时,限额接近1,000美元)。 两个月后,我积累了超过367,000 NTRUMP代币。

为什么其他人不这么做呢?

在我进入之前,我有四个主要假设,为什么很少有人以85美分的价格购买美元:

  1. 担心Augur智能合约会出问题或者特朗普的支持者会操纵预言机(Augur REP代币的持有人通过其代币押在一个或多个结果投票),以使其返回错误结果;
  2. 资金成本:要购买这些代币,你必须将资金锁定两个月以上,这将使你在这段时间内无法使用这些资金或进行其他有利可图的交易;
  3. 技术上太复杂了,它不适合所有人参与;
  4. 实际上,真正有足够动力去抓住一个奇怪的机会的人,要比我想象的要少得多,即使它是很明显的。

这四点都是有道理的,智能合约被攻击是最大的风险因素,Augur预言机从未在如此有争议的环境中进行过测试。资本成本是真实的,尽管在预测市场上押注比在股票市场中押注更容易(因为你知道价格永远不会超过1美元,但锁定资本却与加密市场中其他有利可图的机会是竞争的)。此外,在dapp中进行交易在技术上是复杂的,因此人们自然会有一定程度的恐惧感。

而我实际进入这一金融领域的经历,以及观察市场价格的演变,让我学到了很多关于这些假设的知识。

对智能合约漏洞的恐惧

起初,我认为“对智能合约漏洞的恐惧”一定是人们主要担心的因素。但随着时间的推移,我越来越相信这可能不是一个主导因素。一种方法是比较YTRUMP和ITRUMP的价格。ITRUMP代表“无效特朗普”,这里的“无效”是指在某些特殊情况下会触发的事件结果:当对事件的描述不明确时,当市场解决时,当事件的结果尚不清楚时,当市场不道德时(如暗杀市场),以及其他一些类似情况。在这个市场上,ITRUMP的价格一直保持在0.02美元以下。如果有人想通过攻击市场来赚取利润,那么他们不以0.15美元的价格购买YTRUMP,而是以0.02美元的价格购买ITRUMP会更有利可图。如果他们购买大量的ITRUMP,则可以强迫“无效”结果实际触发,从而可以获得50倍的回报。因此,如果你担心遭受攻击,那么购买ITRUMP是迄今为止最合理的选择。然而,很少有人选择这样做。

当然,另一种排除担心智能合约漏洞的说法的是,在除预测市场(例如Compound,各种收益农耕计划)之外的每个加密应用中,人们都对智能合约风险表现出令人惊讶的漠视。如果人们愿意把他们的钱投入到各种存在风险且未经测试的计划中(哪怕只承诺5-8%的年收益),那为什么在这里他们就突然变得过分谨慎呢?

资本成本

资本成本(即锁定大量资金的不便和机会成本)是一个挑战,我比以往更清楚地认识到了这一点。仅从Augur方面来看,我需要锁定两个月的308,249 DAI,才能获得56,803美元的利润,这大概是175%的年化盈利,从目前来看,即使与2020年夏季的各种高收益流动性挖矿活动相比,这种收益也是相当可观的。但是当你考虑到我需要在MakerDAO上进行操作时,情况将变得更糟一些。因为在我想保持我的ETH仓位的情况下,我需要通过CDP获得DAI,而且安全地使用CDP需要3倍以上的抵押比率。因此,我实际上需要锁定的资金总额约为一百万美元。

那么现在来看,这个收益率看起来并不是很有利。而且,如果你考虑到可能发生的黑客攻击或者真正史无前例的政治事件的可能性,那么参与它的吸引力就会大打折扣。

Vitalik Buterin:预测市场将成为越来越重要的以太坊应用

但是即使如此,假设锁定资金为3倍,Augur合约被攻击的可能为3%(我购买了ITRUMP来对冲风险),这样可以将风险中和率降低到35%左右,而如果你考虑到真实的人对风险的看法,这一比例甚至会更低。这笔交易仍然是非常吸引人的,但另一方面,现在看来非常可以理解的是,这样的数字,对于那些在加密货币市场体验到100倍上下波动的参与者来说,其吸引力是不够的。

另一方面,特朗普的支持者没有面临这些挑战:他们只投入了60,000美元就取消了我的308,249美元赌注(因为费用的关系,我赢的钱比这少)。当概率接近0或1时,就像这里的情况一样,博弈是非常不平衡的,这有利于那些试图把概率推离极值的人。这不仅解释了特朗普的情况,这也是为什么没有真正获胜机会的各种受欢迎的小众候选人,经常会获得高达5%的获胜概率的原因。

技术复杂度

一开始我试着在Augur上购买NTRUMP,但是用户界面上的技术故障使我无法直接在Augur上下订单(与我交谈的其他人没有这个问题。。。我仍然不确定到底发生了什么)。Catnip的UI要简单得多,而且运行地非常出色。然而,像Balancer(和Uniswap)这样的自动做市商最适合于较小额的交易,对于较大的交易,滑点是非常高的。这是更广泛的“AMM vs订单簿”辩论的一个很好的缩影:AMM更方便,但订单簿对于大型交易而言确实要更有效。Uniswap v3正在引入一种AMM设计,其具有更好的资本效率,我们将看到它是否能够改善情况。

还有其他技术上的复杂性,不过幸运的是,它们似乎都很容易解决。像Catnip这样的接口没有理由无法将“DAI->Foundry->sell YTRUMP”路径集成到一个合约中,这样你就可以在单笔交易中以这种方式购买NTRUMP代币。实际上,该界面甚至可以检查“DAI->NTRUMP”路径和“DAI->Foundry->sell YTRUMP”路径的价格和流动性属性,并自动为你提供更好的交易。甚至从MakerDAO CDP中提取DAI也可以包含在这条路径中。我在这里的结论是乐观的:技术复杂性问题是当前人们不愿意采用预测市场的真正障碍,但随着技术的进步,使用它们会变得容易得多。

信心不足

现在,我们有了最后的可能性:很多人(尤其是聪明人)患有过度谦卑的问题,因此很容易得出这样的结论:如果没有其他人采取任何行动,那么一定有充分的理由说明为什么该行动不值得采取。

Eliezer Yudkowsky在他的优秀著作《不足的均衡》的后半部分阐述了这一点,他认为太多的人过度使用了“谦虚的认识论”,我们更应该根据我们的推理结果采取行动,即使结果表明绝大多数人在某些事情上不理智、懒惰或错误。当我第一次读到这些章节时,我并不信服,似乎Eliezer只是过于傲慢,但在经历了这段经历后,我看到了他的一些智慧。

这不是我第一次见证相信自己推理的优点。当我最初开始着手以太坊工作的时候,我一开始就被恐惧所困扰,我担心这个项目有一些理由注定要失败。我推断,一个完全可编程的智能合约区块链显然比之前有了很大的改进,肯定有很多人在我之前就想到了。所以我完全预料到,一旦我发表了这个想法,许多非常聪明的密码学家会告诉我以太坊这样的东西根本是不可能的原因。然而,从来没有人这样做过。

当然,不是每个人都有过分谦虚的毛病。许多预测特朗普赢得大选的人,可以说是被自己过度的逆反心理愚弄了。以太坊得益于我年轻时对自己谦虚和恐惧的压抑,但还有许多其他项目可以从更多的知识型谦卑中受益,并避免失败。

Vitalik Buterin:预测市场将成为越来越重要的以太坊应用

然而,在我看来,正如著名的Yeats名言所说,“最好的人缺乏自信,而最坏的人充满激情,” 这一点比以往任何时候都更为真实,在我看来,向全社会传播这样一个信息,即解决办法是简单地信任社会现有的产出,不管这些产出是以学术机构、媒体、政府还是市场的形式出现的,这似乎不是解决办法。所有这些机构之所以能够运作,正是因为有人认为它们不起作用,或者至少有人认为它们在某些时候可能是错的。

futarchy的教训

亲眼目睹了资本成本的重要性及其与风险的相互影响,这也是判断Futarchy这样的系统的重要证据。Futarchy以及“决策市场”通常是预测市场的一个重要的和潜在的非常有用的社会应用。对谁将成为下一任总统的预测稍微准确一点,没有多少社会价值。但是,有条件的预测是有很多社会价值的:如果我们做a,它会带来一些好东西X的可能性有多大,如果我们做B,那么机会会有多大?有条件的预测很重要,因为它们不仅能满足我们的好奇心,还能帮助我们做出决定。

尽管选举预测市场远不如条件预测有用,但它们有助于揭示一个重要问题:它们对操纵、甚至只是偏见和错误的观点有多强的抵抗力?我们可以通过观察套利有多困难来回答这个问题:假设条件预测市场目前给出的概率(在你看来)是错误的(可能是由于信息不充分的交易者或明显的操纵企图)。通过正确设置事情,你可以产生多少影响,你可以赚取多少利润?

让我们从一个具体的例子开始。 假设我们正在尝试使用预测市场在决策A和决策B之间进行选择,其中每个决策都有可能实现某些理想结果的可能性。假设你认为决策A有50%的机会实现目标,而决策B有45%的机会。但是,市场(在你看来是错的)认为决策B的机会为55%,决策A的机会为40%。

Vitalik Buterin:预测市场将成为越来越重要的以太坊应用

假设你是一个小参与者,那么你的个人下注不会影响结果,只有很多人一起下注时才会产生影响。那你应该下注多少钱?

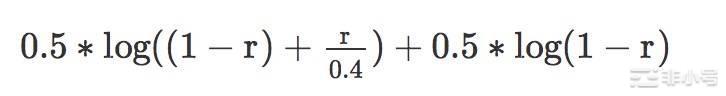
这里的标准理论依赖于凯利公式。本质上,你应该采取行动以使资产的预期对数最大化。在这种情况下,我们可以求解结果方程。假设你将部分资金投入以0.4美元的价格购买A代币。从你的角度来看,你期望的新对数财富为:

Vitalik Buterin:预测市场将成为越来越重要的以太坊应用

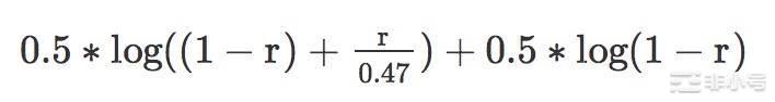
第一项是50%的概率(从你的角度来看)打赌得到回报,你投资的部分标的增长了2.5倍(因为你以40美分的价格购买了美元)。第二项是下注没有回报的机会为50%,你输掉了下注的部分资金。我们可以使用演算来找到使这一点最大化的方法,对于懒惰的人,你可以使用WolframAlpha‌,这里的答案是:r = 1/6。如果其他人买入,市场上A的价格上升到47%(B下降到48%),我们可以为最后一个交易者重做计算,该交易者会翻转市场以使其正确地偏向A:

Vitalik Buterin:预测市场将成为越来越重要的以太坊应用

在这里,期望对数财富最大化r值仅为0.0566。结论很明确:当决策接近并且有很多噪音时,事实证明只将一小部分资金投资于市场才有意义。这是假设理性的,大多数人在不确定的赌博上的投资比凯利公式所说的要少。资本成本甚至更高。但是,如果攻击者真的因为个人原因而想迫使结果B通过,他们可以把所有的资金都用来购买该代币。总的来说,比赛很容易会偏袒20:1以上的进攻方。

当然,事实上,攻击者很少愿意把所有资金都押在一个决定上。并且futarchy并不是唯一易受攻击的机制,股市同样脆弱,而非市场决策机制也可能被坚定的富裕攻击者以各种方式操纵。但无论如何,我们应该警惕,不要以为futarchy会把我们推向决策准确性的新高度。

有趣的是,数学似乎表明,当预期的操纵者想要将结果推向一个极值时,futarchy将发挥最好的作用。这样的一个例子可能是责任保险,因为有人希望不正当地获得保险,将有效地试图将不利事件发生的市场估计概率降至零。

预测市场能变得更好吗?

最后要问的问题是:预测市场注定会犯同样的错误吗?就像它在12月初时判断特朗普推翻选举的几率达到15%,甚至在最高法院(包括他任命的三名法官)要求特朗普滚蛋之后,其给出推翻选举的几率也达到12%那样严重?令人惊讶的是,我认为预测市场不会重蹈覆辙,我看到了一些乐观的理由。

1、市场是自然选择的

首先,这些事件给了我一个新的视角来看待市场效率和理性究竟是如何产生的。市场效率理论的支持者经常声称,市场效率之所以产生,是因为大多数参与者都是理性的(或者至少理性比任何迷信者群体都重要),这是公理。但是,相反,我们可以从进化的角度来看待正在发生的事情。

加密市场是一个年轻的生态系统。尽管Elon最近发布了推文,但这个生态系统仍与主流保持脱节,并且在选举政治细节方面还没有足够的专业知识。那些选举政治学专家很难进入加密货币领域,并且加密货币存在着很多并非总是正确的逆向形式,特别是在政治领域。但是今年发生的事情是,在加密货币领域,正确预期拜登获胜的预测市场用户的资本增加了18%,而错误地预测的特朗普获胜的预测市场用户的资本减少了100%(或者至少是他们下注的部分)。

Vitalik Buterin:预测市场将成为越来越重要的以太坊应用

因此,会存在选择压力。经过十轮这样的预测,好的预测者将有更多的资本可以投注,而糟糕的预测者将有更少的资本可以投注。这不依赖于任何人“变得更明智”或“学习他们的课程”或任何其他有关人类推理和学习能力的假设。仅仅是选择动态的结果,随着时间的流逝,擅长做出正确猜测的参与者将主导生态系统。

值得注意的是,预测市场在这方面的表现要好于股票市场:股票市场的“暴发户”往往是靠一次千倍的收益走运,这给信号增加了很多噪音,但在预测市场中,价格被限制在0和1之间,限制了任何一个单一事件的影响。

2、更好的参与者和更好的技术

第二,预测市场本身将会改善。用户界面已经有了很大的改进,并将进一步得到改进。MakerDAO->Foundry->Catnip的复杂性操作将被抽象为一笔事务。区块链扩容技术将得到改善,以降低参与者的费用(带有内置AMM的ZK rollup Loopring已经在以太坊主网上运行,理论上预测市场可以在上面运行)。

第三,我们所看到的预测市场正确运行的演示,将缓解参与者的担忧。用户将看到Augur预言机即使在非常有争议的情况下也能给出正确的输出。来自加密行业之外的人们将会看到这个过程是有效的,并且更倾向于参与其中。也许甚至Nate Silver本人也会用一些DAI,并使用Augur、Omen、Polymarket等其它预测市场来补充其2022年及以后的收入。

第四,预测市场技术本身可以改善。以下是我自己提出的一个市场设计建议,它可以提高资本效率,同时押注于许多不太可能发生的事件,有助于防止不太可能的结果获得不合理的高概率。其他的想法肯定会涌现出来,我期待在这个方向上看到更多的实验。

结论

通过对预测市场以及它们如何与个人和社会心理的复杂性相冲突的第一次令人难以置信的直接试验,它展示了很多关于市场效率在实践中是如何运作的,它的局限性是什么,以及可以做些什么来改善它。

它也很好地展示了区块链的能力,事实上,这是我认为最具价值的以太坊应用之一。区块链经常被批评为投机性玩具,除了自我参照型游戏(流动性挖矿,其收益通常是用其它发行的代币),没有做任何有意义的事情。当然,批评家们没有意识到例外,我个人从ENS中受益,甚至在所有信用卡选择都失败的情况下,使用ETH进行付款也可以从中受益。但在过去的几个月里,我们似乎看到了以太坊应用的迅速发展,它对人们有着具体的帮助,并与现实世界进行互动,而预测市场就是一个关键的例子。

我预计未来几年,预测市场将成为越来越重要的以太坊应用,2020年的选举仅仅是一个开始,未来的预测市场将受到更多关注,这不仅仅是选举,还有条件预测、决策和其他应用。如果预测市场在数学上以最佳方式运作,它将带来什么样的惊人承诺,当然,这将继续与人类现实的极限相冲突,希望随着时间的推移,我们能够更清楚地了解这种新的社会技术究竟能在何处提供最大的价值。

郑重声明:本文版权归原作者所有,转载文章仅为传播信息之目的,不构成任何投资建议,如有侵权行为,请第一时间联络我们修改或删除,多谢。

推荐文章

张译诚|汽油库存跳升 油价重回高点

张译诚|汽油库存跳升油价重回高点据张译诚报道,4月20日(周四)亚市盘初,美原油交投于78.84美...

张译诚
429 2年前

张译诚-美国经济正在走向衰退

张译诚-美国经济正在走向衰退美联储即将进入5月份政策会议前的静默期,本周联储数位官员讲话均指向5月...

张译诚
375 2年前

美元持续下跌,张译诚认为非美市场有机会!

美元持续下跌,张译诚认为非美市场有机会!张译诚经济分析师是一位在华尔街拥有多年经验的专业人士。他于...

张译诚
426 2年前

台湾期市交易量分析|张鼎丰

台湾期市交易量分析|张鼎丰据张鼎丰了解,台湾期货市场2022年总交易量为3亿8,446万8,497...

张鼎丰
473 2年前

张鼎丰建议|虚拟货币引入实体金融体系

张鼎丰建议|虚拟货币引入实体金融体系金管会承担虚拟货币监理责任,让实体金融和虚拟货币产业是否会有新...

张鼎丰
471 2年前

叶馨怡-台厂全球新布局

叶馨怡-台厂全球新布局「现在我身边的朋友,十个有九个都想撤离大陆,但想撤还不一定撤得了」,一家电子...

叶馨怡
471 2年前