8.7 比特币短线是否能够再次直接出手抄底?
善待自己,不被别人左右,也不去左右别人,自信优雅。如果做一粒尘埃,就用飞舞诠释生命的内涵;如果是一滴雨,就倾尽温柔滋润大地。人生多磨难,要为自己鼓掌,别让犹豫阻滞了脚步,别让忧伤苍白了心灵。努力去做自己该做的,但是不要期待回报,不是付出了就会有回报的,做了就不要后悔,不做才后悔。
市场回顾:
周五,三大美股指冲高回落转跌,标普纳指四连跌,创硅谷银行倒闭以来五个月最大周跌幅。财报后苹果跌4.8%、创十个月最大日跌幅,亚马逊涨超8%、创九个月最大涨幅。美国超导盘中涨27%后收涨7.4%。
薪资超预期上涨但就业增长意外放缓的非农就业报告公布后,连日盘中飙升的基准十年期美债收益率先再创九个月新高,后跳水,回落超10个基点,仍连升两周,两年期收益率全周降超10个基点。美元指数加速跌离近四周高位,仍连涨三周。
黄金拉升转涨。原油全周两度创三个半月新高,连涨六周。美国小麦盘中涨超4%后收涨近1%。
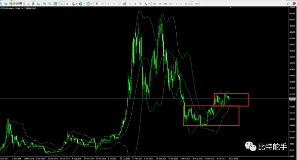
比特币近三个交易日波动率萎缩到了极致,日波幅仅100点200点,当然最近2个交易日为周末,是一个原因,更多的因素还是因为市场流动性的匮乏。


以上为比特币的周线和日线,周线暂时短暂踩在布林带中轨之上,日线却十分弱势,过去12个交易日,日线连布林带中轨都无法触及。流动性的不足无法支撑币价走强,当然也不会有较大的波动空间。目前的价格较为纠结,幅度太小,超短线可分析和预测的意义不太大。波段看后市仍然有可观的上涨空间。只是短线暂时未见企稳止跌,流动性缓解,波幅加大的信号。
行情展望:
和上周五8月4号一样的展望。
行情展望:
短线需要关注下方28500支撑,这里对于短期后市的走势十分重要。
前面文章对于这波高点回踩走势的判断,我们果断且坚定,随着我们坚持看空,价格再次如我们所料,回到了29000之下。那么目前我们能够直接再次在这个位置或者之下,直接抄底看好价格进一步的走强吗? 还需要进一步的观察,至少目前为止,我认为是不能够直接下手的。
日内大饼怎么看呢?日内稳健的可以选择观望,毕竟两三个交易日就那么200到400点的上下横盘,激进的可以继续尝试顺势而为,博弈极弱走势,继续空空空。超短线下方关注28500上方关注30100即可。波幅太小,哪怕最低赚到最高也就那么400点,往常我们的策略都是现价上下一百点随便进场。现在连随便进场以后,都只有进场价格空间可图。因此超短线我们就不制定具体安排了。
波幅较小,波动较慢,流动性问题还没有得到缓解,大家多一些耐心!
盘中价格有任何异变,舵手会在盘中实时提示大家!
所有分析和判断皆为概率性的预测,市场有风险,投机需谨慎!
所有分析和判断皆为概率性的预测,市场有风险,投机需谨慎!
所有分析和判断皆为概率性的预测,市场有风险,投机需谨慎!
2023.8.7
郑重声明:本文版权归原作者所有,转载文章仅为传播信息之目的,不构成任何投资建议,如有侵权行为,请第一时间联络我们修改或删除,多谢。
7月23:Mt. Gox 比特币钱包在市场紧缩的情况下转移了价值 28.2 亿美元的 BTC
7月23:Mt. Gox 比特币钱包在市场紧缩的情况下转移了价值 28.2 亿美元的 BTC一个引...
悦盈:比特币68000的空完美落地反弹继续看跌 以太坊破前高看回撤
一个人的自律中,藏着无限的可能性,你自律的程度,决定着你人生的高度。 人生没有近路可走,但你走的每...
币圈舵手
文章数量
48粉丝数
0