7.13 比特币22个交易日的横盘 疲惫且无奈 短期观望为上上策
世界也许很无聊,但你一定要有趣。生活也许不如意,但你一定要过得有诗意。心之所向便是阳光,无所畏惧,便是远方。没有什么人能一路单纯到底,但是要记住,别忘了最初的自己。走一步有一步的风景,进一步有一步的欢喜。不为模糊的未来担忧,只为清楚的现在努力。先看清脚下的路,再看向远方,认真对待每一个今天,努力奔赴每一个明天,好好生活,慢慢相遇,惊喜和幸福都在路上。
市场回顾:
美国6月通胀降超预期,市场押注7月为美联储最后一次加息,并下调对欧美其他央行加息预期,风险资产全线大涨。纳指收盘涨超1%,与标普齐创去年4月来最高,中概指数领跑,涨超3%,B站涨近8%。
美债收益率全线跌逾10个基点,两年期美债收益率跌18个基点,两年期英债收益率重挫20个基点。美元跌超1%,失守101至三个月最低,离岸人民币大涨500点并涨穿7.17元。
黄金涨超1%至近四周最高。布油5月1日来首次升破80美元。
比特币近几个交易日未有实时同步更新,因价格都在预期之中且波幅收缩的太小,最近三个交易日几乎每日,都是700点左右的波幅。算上上下影线,盘中三百点都算是大利润了。

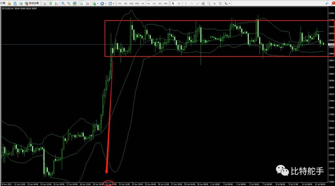
如上图,4小时从6月21日开始到此刻,22个交易日,价格持续横盘,波幅持续收窄,再多的短线分析都在谈笑中。日日都期待着大涨大跌,日日都期待着流动性的恢复。22个交易日的坚守,价格仍然还在横盘区间内。交易的核心在于等待,足够的耐心加上适时的介入才会产生好的结果。

行情展望:
日线布林带已经走平,日内看好震荡或者上涨。激进的朋友可以参与下超短线博弈。稳健的上上策是观望。要介入也一定设置好止损止盈。
短线日内建议以29800 30000区间为低点,29600为止损,做多看涨30800,激进的看31500,突破31500看好大涨。空头日内暂时没有安排。盘中需注意若意外跌破29600,则全部止损所有多单。2个横盘多空命脉价格 29600多头的止损命脉 31500 空头的止损命脉。记住这2个价格!
我们前面是持续看好跌破29000 甚至28000的,目前其实价格横盘时间过久,短线日内稳健的朋友,建议观望。激进的可以先尝试性的博弈一下震荡。 观望的朋友需要注意29600 31500这2个高低价格·,走出横盘需要注意这2个价格。
市场流动性没有恢复持续横盘之前,最好的策略就是观望。激进的耐不住寂寞的也应该轻仓带着止损博弈。近期我们持续在30800 31000之上反复空,空了无数次,获利了无数次。横盘格局终究是要打破的,日线布林带缩口之后再次走平,重点关注近期是否有机会走出横盘区间。
所有分析和判断皆为概率性的预测,市场有风险,投机需谨慎!
所有分析和判断皆为概率性的预测,市场有风险,投机需谨慎!
所有分析和判断皆为概率性的预测,市场有风险,投机需谨慎!
2023.7.13
郑重声明:本文版权归原作者所有,转载文章仅为传播信息之目的,不构成任何投资建议,如有侵权行为,请第一时间联络我们修改或删除,多谢。
7月23:Mt. Gox 比特币钱包在市场紧缩的情况下转移了价值 28.2 亿美元的 BTC
7月23:Mt. Gox 比特币钱包在市场紧缩的情况下转移了价值 28.2 亿美元的 BTC一个引...
悦盈:比特币68000的空完美落地反弹继续看跌 以太坊破前高看回撤
一个人的自律中,藏着无限的可能性,你自律的程度,决定着你人生的高度。 人生没有近路可走,但你走的每...
币圈舵手
文章数量
48粉丝数
0