“ZKP+Bitcoin”会带来什么?
作者:Bing Ventures
我们看到越来越多的团队在区块链基础设施和dApp中采用零知识证明技术。其中一些新方案可能加速零知识证明在区块链空间中的应用,并以更好的方式帮助隐私和可扩展性。然而,大部分项目都是基于以太坊进行开发,而比特币则在零知识证明领域缺乏应有的关注。
关键要点
零知识证明可以提高比特币的隐私性,因为它可以隐藏交易的细节,如金额、地址、输入和输出等,同时保留交易的有效性和完整性,这样就可以防止第三方追踪以及分析用户的交易活动。
零知识证明可以提高比特币的可扩展性,因为它可以减少交易数据的大小和验证时间。 例如,使用ZK-STARKs或其改进版本就可以将多个交易打包在一起,并使用零知识证明来验证它们,从而节省空间和时间。
零知识证明可以提高比特币的创新性,因为它可以支持更多的功能和应用。 例如使用ZK-SNARKs,就可以实现更多的逻辑和计算,在不暴露信息或增加开销的情况下执行更复杂和更灵活的合约。
最终,零知识证明将使比特币更加无需信任和去中心化,符合其核心价值观。随着技术的不断发展和改进,比特币和ZKP的潜力也将不断得到挖掘。
越来越多的团队在区块链基础设施和dApp中采用零知识证明技术。但是,大部分项目都是基于以太坊进行的开发。然而,比特币与零知识证明实际上具有天然的结合基因,这一领域目前缺乏应有的关注。零知识证明技术与比特币的结合将可能为比特币网络带来哪些赋能?在本期Bing Ventures博文中,我们将从技术原理和应用前景角度对这一话题进行探索。
零知识证明(ZKP)是一种数学方法,允许一方(称为证明者)向另一方(称为验证者)证明一个事实,而无需向验证者提供任何有关证明的信息。这种方法对于保护隐私非常有效,因为证明者可以向验证者提供证明,而不会泄露任何有关证明本身的信息。
比特币可以与零知识证明具备天然结合的基因。比特币是一种去中心化的虚拟货币,它使用区块链来记录交易,并且所有交易信息都是公开的。然而,这也意味着比特币的交易信息可以被任何人查看,因此存在隐私泄露的风险。而零知识证明可以解决这个问题。
通过使用零知识证明,比特币用户可以将交易信息进行加密,并在不泄露信息的情况下证明其有效性,从而实现更高水平的隐私保护。零知识证明还可以提高比特币的可扩展性。目前,比特币的交易速度受到区块链大小和网络拥堵的限制,这限制了其在大规模商业应用中的使用。但是,通过使用零知识证明,比特币用户可以将大量交易信息进行批量处理,并将其证明的大小压缩到极小,从而提高比特币的可扩展性和效率。

背景和基本原理
ZK-SNARKs和ZK-STARKs
ZK-SNARKs和ZK-STARKs都是零知识证明的变种,它们的共同点是在不泄露敏感信息的情况下证明某些数据或操作的有效性。但是,它们的实现方式、性能和应用范围有所不同。
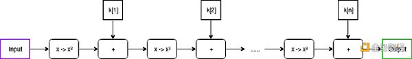
ZK-SNARKs(Zero-Knowledge Succinct Non-Interactive Argument of Knowledge)是一种基于椭圆曲线密码学的零知识证明技术。它可以将一个复杂的计算问题转换成一个简单的证明,证明的大小非常小,且不需要交互。这意味着ZK-SNARKs可以在不泄露任何计算信息的情况下验证计算的正确性。ZK-SNARKs的应用领域主要包括加密货币和隐私保护。
ZK-STARKs(Zero-Knowledge Scalable Transparent Argument of Knowledge)是一种新型的零知识证明技术,相对于ZK-SNARKs更加灵活和安全。ZK-STARKs的实现方式不依赖于椭圆曲线密码学,而是使用了哈希函数和多项式插值技术。这使得ZK-STARKs更加可靠,因为它不依赖于不可预测的数学难题,而是依赖于哈希函数的不可逆性。另外,ZK-STARKs的证明大小比ZK-SNARKs更大,但是它的证明可验证性更好,因此可以应用于更广泛的领域,例如分布式计算和物联网安全等。

比特币采用零知识证明的难点
以Zcash为例,Zcash 采用的是零知识证明技术中的 ZK-SNARKs,该技术可以用于隐藏交易的详细信息,包括交易金额、参与者身份等,以实现更好的隐私保护。Zcash采用ZK-SNARKS的技术原理大致如下:
Zcash中有两种类型的地址:透明地址(t-address)和隐藏地址(z-address)。 透明地址类似于比特币地址,它们在区块链上公开交易金额和参与者。 隐藏地址则使用零知识证明来保护交易金额和参与者的隐私。
当一个用户从一个隐藏地址发送资金到另一个隐藏地址时,他们需要生成一个ZK-SNARKS证明来表明他们拥有足够的资金,并且没有花费任何已经花费过的资金。 这个过程涉及到一些复杂的数学和密码学操作,比如生成公开参数、计算哈希、构造算术电路等。
生成ZK-SNARKS证明需要大量的计算资源和时间,但验证ZK-SNARKS证明却非常快速和简单。 验证者只需要检查交易是否符合区块链的规则,而不需要知道任何关于交易金额或参与者的信息。
通过使用ZK-SNARKS,Zcash可以实现完全匿名和可验证的交易,在保持区块链安全性和去中心化性的同时,提高用户隐私性和可用性。
但是,Zcash 采用的零知识证明技术也存在一些局限性。首先,Zcash 是基于 UTXO 的,这意味着交易信息并没有被完全掩盖,而只是被屏蔽了。因此,攻击者可以通过分析交易信息的模式和流量来推断出一些有用的信息。这也就导致了 Zcash 对于隐私保护的程度并不是完全可靠的。
其次,Zcash 是基于比特币的独立网络,这使得它与其他应用程序结合变得更加困难。这也就限制了它在更广泛的范围内应用的可能性,进一步阻碍了它的发展。虽然 Zcash 实现了隐私交易,但实际使用率却不高。其中一个原因是,隐私交易的成本比公开交易高得多,这也就限制了它的应用范围。

ZK-STARKs的技术优势
在比特币上采用 ZK-SNARKs 技术确实可以实现交易的匿名性和隐私保护,但是该技术存在一些缺点,比如需要可信的设定和设备,需要大量的计算和存储资源等。为了解决这些问题,一些新的零知识证明技术,如 ZK-STARKs 技术也出现了。
简单来说,ZK-STARKs的过程包括以下几个步骤:
证明者将他想要证明的计算转换成一个多项式方程组,并用秘密信息作为变量。
证明者对这个方程组进行一系列的变换和简化,得到一个更简单的方程组。
证明者对这个简化后的方程组进行采样和编码,得到一个低维度的向量。
证明者对这个向量进行哈希和签名,得到一个短小的字符串,作为他的证明。
验证者收到这个字符串后,可以通过一些公开的参数和算法来检验它是否正确,而不需要知道秘密信息或原始计算。

相较于 ZK-SNARKs 技术,ZK-STARKs 技术具有以下优势:
ZK-STARKs 技术不需要可信的设定,也就是说,不需要信任某个特定的生成器,这提高了技术的安全性。
ZK-STARKs 技术因为需要的计算和存储资源更少,因此可以更好地适应轻量级设备和更广泛的应用场景。这是因为它相比ZK-SNARKs中需要进行复杂的加密和解密运算的过程,其证明生成过程更加高效。此外,ZK-STARKs技术还可以更好地利用并行计算和分布式计算的能力,从而在某些情况下可以更高效地处理计算任务。
ZK-STARKs 技术还可以支持更多的算法和操作,比如哈希函数、多项式运算等,这也为技术的拓展和升级提供了更多的可能性。

比特币和ZK-STARKs的结合
EC-STARKs技术
STARKs技术是一种新型的密码学证明技术,可以通过传递数据与第三方进行通信,同时保持数据的隐私性。这种技术可以将计算和存储验证数据转移到链下,从而提高了可扩展性。相比于ZK-SNARKs技术,STARKs技术更为先进,能够抵抗来自量子计算机的攻击。
EC-STARKs技术是STARKs技术的下一代,旨在通过用椭圆曲线替换哈希函数来提高比特币的可扩展性和安全性。这项技术可以让已经存在于以太坊上的可扩展性解决方案与比特币兼容。使用EC-STARKs技术,可以在链下运行比特币协议,并将证明存储在STARK中。
简而言之,比特币可以在STARK中被仿真,从而允许使用相同的椭圆曲线密钥建立基于比特币的代币的高度复杂的协议。EC-STARKs技术的使用可以在比特币的链下协议中运行,同时保持证明在STARK中。这种方法不仅可以提高比特币的可扩展性,而且可以在比特币上建立高度复杂的协议,从而具有更高的隐私性。
这项技术将比特币的可扩展性和隐私性提高到了一个全新的水平,从而让比特币成为了一个更好的平台。这样,开发者可以在比特币上创建更加复杂的应用程序,使得比特币在加密货币市场上的地位更加稳固。

ZK-STARKs在比特币中的应用前景
ZK-STARKs的应用也符合比特币的保守设计哲学,不需要可信任的集合,而是使用哈希函数、Merkle树和多项式等技术,提高了比特币的透明度和安全性。EC-STARKS在比特币上的一个优势是它可以提高比特币的隐私性,因为它不需要公开交易的细节。 另一个优势是它可以减少比特币的存储需求,因为它可以将大量的数据压缩成一个小的证明。 EC-STARKS在比特币上的一个挑战是它需要更多的计算资源,因为它需要执行复杂的数学运算。 另一个挑战是它需要更多的协调和标准化,因为它需要与比特币的现有协议和基础设施兼兼容。
从技术实现的角度来看,ZK-STARKs的应用可以分为轻节点、全节点和验证方式等方面。轻节点可以利用stark证明区块头状态,实现快速的同步。全节点可以通过UTXO状态实现有效性证明,并使用utreexo技术,用新格式代表UTXO状态,从而不需要查看整个UTXO状态。验证方式方面,只需给定utreexo根+最终状态,就能够开始验证传入的区块。
此外,ZK-STARKs的应用还有很多潜在的方向。例如,与Taro协议相结合,将比特币打造成更加通用的资产,使得比特币的应用场景得到进一步扩展,通过将ZK-STARKs与TARO结合,可以提高TARO协议的可扩展性,使其能够处理更多的交易并支持更大规模的应用,这将为TARO协议的多链部署打开门户。此外,比特币的隐私性一直是个问题,而ZK-STARKs技术的应用可以大幅提高比特币的隐私性。通过使用ZK-STARKs技术,可以将整个交易历史记录压缩到一个单一的交易中,从而有效地隐藏用户的交易信息。

未来的看点
更进一步来说,ZK-STARKs可以用于比特币交易的验证,包括比特币交易的序列化、双SHA计算、secp256k1操作等。这些操作是比特币交易验证的核心,使用ZK-STARKs可以确保比特币交易的验证过程高度安全和可靠。ZK-STARKs还可以用于验证比特币的加速Cairo内置功能。Cairo是一种高效的零知识证明系统,与比特币的加速Cairo内置功能结合使用,可以实现高效的比特币交易验证和安全保障。

ZK-STARKs还可以用于实现Taro原语和资产TLV序列化,以及MS-SMT实现和验证等。这些操作可以有效地保护比特币交易的隐私和安全性,进一步提高比特币交易的可信度和可靠性。闪电网络作为比特币交易的二层解决方案,可以通过结合ZK-STARKs技术实现更高效、更安全的比特币交易。利用ZK-STARKs技术,可以在不牺牲交易隐私的前提下,快速验证闪电网络上的比特币交易。
我们看到越来越多的团队在区块链基础设施和dApp中采用零知识证明技术。其中一些新方案可能有可能加速零知识证明在区块链空间中的应用,并以更好的方式帮助隐私和可扩展性。然而,大部分项目都是基于以太坊进行开发,而比特币则在零知识证明领域缺乏应有的关注。更糟糕的是,工程实践在某种意义上并没有赶上学术成就。我们需要在这方面进行更多的实施和探索,同时也应该对该领域进行更多的关注和支持。
郑重声明:本文版权归原作者所有,转载文章仅为传播信息之目的,不构成任何投资建议,如有侵权行为,请第一时间联络我们修改或删除,多谢。
7月23:Mt. Gox 比特币钱包在市场紧缩的情况下转移了价值 28.2 亿美元的 BTC
7月23:Mt. Gox 比特币钱包在市场紧缩的情况下转移了价值 28.2 亿美元的 BTC一个引...
悦盈:比特币68000的空完美落地反弹继续看跌 以太坊破前高看回撤
一个人的自律中,藏着无限的可能性,你自律的程度,决定着你人生的高度。 人生没有近路可走,但你走的每...