dappOS的雄心:web3的一键入口

一、引言
(一)行业背景
区块链的技术发展日新月异,随着各种多样化应用玩法的兴起,世界计算机以太坊已经不能满足市场上所有需求。没有完美的公链,只有合适的公链。市场也越来越清晰的认识到,未来的web3必然是一个多链生态。
多链可以带来行业的繁荣,但对于用户来说就未必是好事。每个公链生态都是一个独立王国,内部的应用生态可以很繁荣,但是王国之间有着高耸的城墙。对于用户而言,各个生态公链形成一个个孤岛,用户的资产、数据与信息的互通并不是一件容易的事。对于项目方来说,多链部署,在安全、成本、系统复杂性等上都是巨大的挑战。
同时私钥助记词这些繁琐的钱包元素,也大大提升了普通用户进入web3的门槛。
(二)技术变迁
从历次的技术进化路线,我们也可以看到普适的规律,当基础设施逐渐完善后,行业需要一个终端主机(PC、手机)能够让将技术和应用集成,从而让用户方便地一键使用。回到web3行业,当公链等基础设施完善以后,行业也需要一个更友好的进入方式,从而让更大众的用户来web3玩耍。
当行业还处在早期时,当前的痛点应该只是暂时现象。从技术演进的客观规律,我们有理由相信未来很可能会出现一种,只要一键登录,即可畅游多链全生态应用的模式出现。今天我们要介绍的主角dappOS就是为了实现这个远大目标正在努力。

二、项目概况
(一)目标定位
2022年11月,dappOS作为 Web3首个操作协议被选入Binance Labs,能够在900多个项目中脱颖而出,其产品定位和实现路径得到了币安的认可,给web3用户带来web2般便捷的体验,的确是个很吸引人的愿景。

dappOS将自己定位于服务Dapp的操作协议,在用户和公链、跨链桥等加密基础设施之间新增一层,将公链虚拟化,从而为用户提供一键友好的交互体验。对于项目方,这个平台就像App Store,项目只要部署一次,就能覆盖所有链的流量。对于用户,使用dappOS进入不同的web3应用,就像在微信调用小程序一样便捷,只需要有一个链的钱包账户,即可无感访问各种链的应用。
(二)产品功能
要实现上述目标,dappOS在底层技术和产品端都做了以下创新,主要体现在:
1、底层技术:dappOS Account 和 dappOS Network
dappOS要实现“将公链虚拟化”的目标,上述两项底层技术是其根基。
当用户通过平台与新链交互时,会由一个中间层---dappOS network来帮助用户自动执行钱包和跨链的相关操作,完成最后的触链交互。平台为用户创建虚拟钱包后,在dappOS network支持下,不同链的虚拟钱包可以进行交互,达到跨链的目的。所以经过整个流程,用户只需要与dappOS交互,即可实现使用多链dapp。

dappOS Account
如前述,dappOS创建虚拟钱包的技术理念,就是目前比较热门的账户抽象技术。Vitalik说过,账户抽象是“我们一直想要的东西”,它“长期以来一直是以太坊开发者的梦想社区”。账户抽象如此重要的原因在于,她能使公链上两种类型的账户(外部拥有的账户EOA和合约账户CA)变为只有一种——合约账户CA。
这些合约账户可以发起交易和支付交易费用,并且可以根据用户的需求进行定制。这样做有很多好处(在下一章竞争格局会详细描述),其中用户最直接能感受到到的就是便利性。dappOS自动帮用户创建一个独一无二的虚拟钱包,虚拟钱包支持灵活的恢复方法来重置其管理控制。因此,web2 用户可以在没有传统助记词的情况下使用和重置这些钱包,省去了大量繁琐的步骤。
dappOS Network
而承担起最终与链交互中间层的dappOS Network,则有更多项目原生的创新设计在里面。该模块提供以下两个基本服务:
1)资产跨链。在大多数情况下,费用应该略高于传统跨链gas费用,但时间和步骤会大幅缩短。
2)从虚拟钱包执行链上交易。允许用户通过不同链上的代币、CEX 中的资产甚至法币来支付 gas 费用。
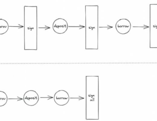
dappOS Network的支持下,用户的一个交互动作,可以完成多个步骤的功能,而传统的dapp交互模式可能每个步骤都需要进行一次操作。以目前平台已经支持的Perpetual项目为例,用户用BSC链上的USDT支付Perpetual(OP链)上的一次交易费用,这个操作只需一次点击即可完成。相比传统操作模式:先资产跨链、支付跨链费用、再资产兑换、最后支付交易费用这个繁琐的流程,用户便捷了许多,而完成整个流程所需的时间也从原来的30分钟缩减到几分钟。
支撑起上述功能,得益于dappOS Network一整套服务机制(如下图):

在整个服务网络中,有超级节点和服务节点两种类型的节点,整个工作流程大概是,超级节点接受并确认订单,然后将其委托给相应的服务服务节点,服务节点完成客户的订单操作,并从手续费中分享收益。

超级节点起的作用是:
接受订单并委托给服务节点,超级节点会按照所有服务器节点按照费用、速度、staking进行综合排名,选出合适的节点。
同时监控服务订单,如执行有误使用服务节点质押的保证金来补偿客户。超级节点采用DPOS共识机制,主网上线时数量将稳定在20个,成为超级节点需要质押平台币。
服务节点质押保证金,以获得参与订单执行的权限,同时在每次完成订单后分享相应收益。服务器节点可以随时充值,充值立即生效。有了存款,服务器节点就可以接收订单。提款可以随时发起,但提款过程会持续一到两天。合约中的资金在提款过程中不能作为保证金使用。当服务器节点面临惩罚时,超级节点会先扣除处于退出状态的资金。扣除保证金需要超过半数的超级节点相互确认。
2、To B端产品, dappOS SDK
除了上述的核心功能,平台为B端用户和C端用户分别提供了体验良好的功能模块,为B端用户提供的dappOS SDK,可以帮助用户无需重新编写合约,即可完成多链部署,能够帮助项目方通过一次部署捕获多个链的流量。
这对于dapp项目方来说是一个非常有吸引力的卖点,所以目前平台正在BD各大头部的dapp,未来随着越来越多的dapp上限dappOS的平台,用户操作的便捷度就会明显上升,反过来对dapp的吸引力又会加强。所以很明显,如果冷启动获得成功,平台就会形成螺旋上升的飞轮效应。
3、To C端产品,小程序平台
平台为C端用户专门设计的一个工具是“小程序平台”,让用户能够体验到更接近于web2的便捷,正如我们前面所说,基于虚拟钱包和dappOS Network,用户通过小程序平台,即可方便的访问众多dapp,真正实现web2般的用户体验。

(三)代币经济
虽然项目方还没有公布完成的代币经济模型,但是披露了平台代币未来的大概作用:
1)质押平台代币称为超级节点;
2)用户可以用品台代币来支付交易gas费;
3)dapp支付上线推广费用;
4)参与平台治理;
5)平台未来 DPOS 链的 Gas 代币;
(四)发展历程
按照项目方的规划,整个项目周期会分为三个阶段:
1、设置中心化超级节点和服务节点,主要用户小规模测试、合约调试、需求验证,实现虚拟账户、资产跨链、服务节点安全验证等基础功能;
2、设置中心化超级节点和去中心化服务节点,通过BD快速扩充市场,实现多币种交易、服务节点完整功能;
3、设置去中心化超级节点和中心化服务节点,支持多链全生态Dapp大规模交易。实现超级节点网络的建设,代币经济模型开始进入良好运转。
目前项目方正处于第1阶段向第2阶段前进中,平台的基础功能已经开发完毕,目前支持了并实现了集成平台功能的Perpetual上线。
另外与Polygon、Avalanche、Zksync、Benqi、Alchemy Pay等合作正在有序推进中,不久的将来将会看到平台支持的跨链会越来越多,同时集成平台功能后上线的Dapp生态也会越来越丰富,让平台的成长飞轮快速运转起来。
三、市场机会与未来展望
(一)市场机会
虽然目前ETH仍然是一家独大的局面,但是随着L2、新公链、应用链的发展,未来的多链格局几乎是肯定的。多链对用户和项目方都是一大痛点,对于项目方来说系统变得更加复杂,使得维护系统变得困难,而且也可能导致一些安全隐患。对于用户来说,要使用各种链上的应用,学习成本、安全性、便捷性都是一大挑战。
多链和传统钱包的复杂度,已经成为了很多潜在用户进入web3的重大障碍,所以如果有一个便捷的入口,能够方便让项目方完成在多链的部署,同时让用户一键使用各种链上的Dapp,无疑是行业巨大的利好。
(二)竞争格局
虽然目前还没有项目能够实现一键访问多链Dapp的功能,但是在朝这个目标前进的路上,已经有相当多的跨链和钱包项目进行了探索。
1、跨链
目前行业有超过100多个跨链项目,而且这个数字还在不断增长,但是其中TOP8的项目占据了90%以上的TVL。
与第三方跨链中的头部项目的对比,能帮我们更清晰地看到dappOS的竞争优势和发展前景:
11、Multichain 流通市值:75m $
Multichain从资产跨链起家,近期也发布了信息跨链的功能组建,采用SMPC(安全多方计算)的技术来进行外部验证,验证节点由固定的24个节点组成,且无需质押,所以针对其中心化的质疑一直存在。
从用户的角度来说,在使用Multichain时,用户需要多次操作,等待一定时间,才能实现资产的转移从而使用不同链的Dapp。
1.2、dappOS
针对目前跨链桥普遍的安全性和便捷性问题,dappOS有了针对性的解决方案,目标就是最终能让用户实现无感的跨链。
功能上dappOS可以实现资产跨链、信息跨链、多链资产的聚合,可以满足用户对跨链的所有需求。
安全上,将采用完全去中心化竞争的方式产生验证节点,节点需要质押高于交易资产的保证金,提高对用户资产的保障。
便捷上,用户只需通过dappOS的平台,操作一次,即可使用跨链的应用,力求让这种无感的便捷体验,接近于web2应用的使用体验。
目前主流的跨链项目刚完成了从资产跨链向信息跨链的升级,要实现更多的功能支持,未来还需要功能跨链、身份跨链,传统的跨链桥每进一步都是巨大的挑战,也许dappOS这种虚拟账户+虚拟层的解决方式,可以帮助我们更快地实现这个目标。
2、钱包
钱包是web3非常重要的基础设施,是web3重要的流量聚集地,要帮助用户更加便捷的使用全生态Dapp,钱包功能不可或缺。正如前面所说,由于采用了账户抽象技术,dappOS的虚拟钱包,在安全性、易用性、灵活性相比Metamask等传统钱包有明显的优势:
2.1、易用性
通过账户抽象,你可以将多个交易捆绑成一个,并在一个原子事务中执行操作序列。即过往用户多次签名多次执行的操作,现在用户只需操作一次。

2.2、安全性
安全性一方面得益于前述的操作简洁化,多次操作即意味着多次的风险,越少的签名意味着更高的安全。
同时dappOS的虚拟钱包支持社会恢复,如果你失去了你的私钥,你可以用过信任的第三方、其他设备、电子邮件等方式恢复。Vitali说,社会恢复是“我首选的保护钱包的方法”。可见社会恢复能够让安全和简洁在web3得到传承。
最后,基于账户抽象的虚拟钱包,让你拥有需要多个密钥签名的账户,交易只有在满足某些条件时才能进行,大大提升了安全性。
2.3、灵活性
dappOS的虚拟钱包拥有更多的灵活空间,如你可以采用任何代币来支付gas费。
(三)未来展望
按照A16Z报告的说法,目前的web3仍相当于90年代的web2,从实际用户数据上也验证了这个说法。目前ETH上日活大概在500K~1M,这与web2动辄10亿的日活相比,可想而知未来的增长空间。
而随着Layer2的日渐成熟,在可预见的短期未来,web3将能够支持更多高频低价的活动,各种社交、游戏等Dapp有望迎来真正的爆发,这些低门槛的应用也将为web3世界带来巨大的流量。
如何帮助Dapp降低使用门槛,为更多用户提供便捷、低成本的服务,这就是dappOS当下正在做的事情。虽然项目仍在早期,生态成形还需要一段时间,但是我们有理由相信,一键进入并可使用多链全生态Dapp,才是未来web3正确的入口方式,期待dappOS能够推动这未来更早的到来。
MarsDAO ✦
PS: MarsDAO 投研公会长期招募研究人才,希望有志之士加入我们,共同探索新一代价值投资。
欢迎联系本文作者:Peter & Tom Tsang / MarsDAO 投研公会
Twitter:@MarsDAO_
郑重声明:本文版权归原作者所有,转载文章仅为传播信息之目的,不构成任何投资建议,如有侵权行为,请第一时间联络我们修改或删除,多谢。
7月23:Mt. Gox 比特币钱包在市场紧缩的情况下转移了价值 28.2 亿美元的 BTC
7月23:Mt. Gox 比特币钱包在市场紧缩的情况下转移了价值 28.2 亿美元的 BTC一个引...
悦盈:比特币68000的空完美落地反弹继续看跌 以太坊破前高看回撤
一个人的自律中,藏着无限的可能性,你自律的程度,决定着你人生的高度。 人生没有近路可走,但你走的每...