一文解读新型零知识隐私框架 Private Airdrop 领空投如何避免信息泄露?
空投对早期项目的发展至关重要,它赋予了一个与文明本身一样古老的承诺:“尽早开始并投资于我们,我们将给予你无限的财富。”
在 2020 年Uniswap 追溯空投之后,这个领域充斥着寻找下一个热门事物的人,并因此而成熟起来。这导致空投基础设施和策略日益复杂的性质急剧上升,例如 LooksRare 对 OpenSea 的空投吸血鬼攻击(Vampire Attack)。
鉴于复杂性不断提高,错误必然会发生。再加上空投通常会暴露有关代币接收者的信息,空投基础设施、安全性和策略的现状看起来似乎是严峻的。
不过,像往常一样,一切都没有丢失。在这篇文章中,我展示了一个在空投中结合使用零知识证明的系统。这种新颖的密码学组合允许用户交互和参与项目,通过空投获得奖励,而不必担心他们的个人信息被暴露。
空投定义
空投是一种推广和分发项目代币的方法,以帮助启动和提供资本,并通过去中心化提高安全性。通常情况下,空投是给那些在早期发展过程中交互、构建或普遍参与项目的白名单地址。有几种不同类型的空投,我在下面详细说明:

空投是代币经济学的一个重要组成部分,是催化项目快速发展的关键。以过去几年 DEXs 的加速增长为例;一项评估空投和治理代币作用的研究发现,进行空投的 DEXs 的市值高出 87%。此外,进行空投的交易所的交易量增长率也高出 7.3%。因此,可以说空投对交易量和市值的增长产生了积极影响,尤其是在 DEXs 方面。
问题
然而,空投在结构上存在着关键问题,可能会导致诈骗、隐私侵犯以及相关各方成本的增加。
围绕当前空投系统的各种骗局包括但不限于:
转储空投——开发商制造短期轰动,希望人们在空投进入交易所时会踊跃购买。之后,开发者将会抛售代币,然后“一路笑到银行”。非常类似于经典的“拉高和倾销”、“诱饵和转换”方案。示例:Manifold NFT。
私钥诈骗——这些空投完全是假的,旨在诱骗用户泄露他们钱包的私钥。这种类型的骗局依赖于心理操纵,因为骗子会要求参与者提供他们的私钥,而不是他们的公钥。
信息钓鱼诈骗——旨在收集个人信息。声称赠送代币的目的是获取电子邮件地址、钱包地址、社交媒体信息等。这是空投的一个大问题。本质上,空投包含大量关于代币接收者的信息。本文的重点是提供一个针对解决这个问题的协议。
最近一项跨区块链分析案例研究表明,在链之间共享地址是一种严重的隐私风险。为了申请空投,收件人必须重复使用他们的私钥。钱包地址的重复使用映射了跨链交易之间的关系,无意中向第三方泄露了关于收件人的信息。这项特殊的研究聚焦于区块链空投的案例及其在三个不同区块链上的影响,通过地址簇开发一对一映射。

上面,我们有 3 个不同区块链的共簇图。每个椭圆是一个顶点,代表一个区块链中的地址簇(address cluster)。每个顶点之间的边代表了相应地址簇之间共享的最大地址集(颜色相同的方块)。如果不存在一条边,则不存在地址共享。这些结果证明了地址集群的影响,此外,还表明空投参与者如何在不知不觉中通过他们在另一条链上的活动,披露他们在该链上的地址所有权信息。

三个区块链上的地址数量以及它们的共享方式。36,209 个地址在比特币和莱特币之间共享,但不包括 Dogecoin
解决方案
鉴于空投对收件人的负面影响,显然需要一个系统:
鉴于空投对接收者造成的负面负面影响,需要一个系统做到:
增强用户保护
消除不必要的信息共享
确保高水平的安全性。
一项新的解决方案以零知识证明(zk proof)的形式出现。该集成系统称为“Private Airdrop”,通过集成零知识证明,接收者将能够共享相关信息,同时限制临时信息的泄露。
那么,为什么让零知识证明和空投的整合会变得“私密”呢?据Private Airdrop Protocol,潜在的空投接收者将通过公共渠道(Discord、Telegram、Signal 等)提供一个消息,称为“承诺(commitment)”,这与传统的空投白名单方法非常相似。当接收者将他们的公钥和一个秘密的整数串联成一个哈希值时,就会产生一个“承诺”。因此,潜在的接收者可以在计划的空投中确保他们的位置,而无需公开透露自己。
随后,空投发送者将通过将“承诺”散列(hashing)到 tree 来创建“默克尔树”(Merkle tree)。在空投日期,接收者可以通过提供零知识证明来声明他们的空投,以证明他们是 tree 中“承诺”的创建者,而无需透露与他们的“承诺”相关的公钥。在这方面,接受者能够获得传统空投的所有好处,同时也可以保护他们的身份和其他敏感的个人数据。

描述散列“承诺”的 Merkle 树
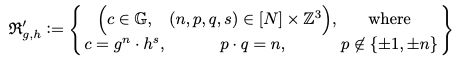
为了使验证成为可能,Prover 需要证明 RSA 系统中的因式分解知识,给定承诺。关系如下图所示;c 是陈述,(n,p,q,s)是证人。

承诺的知识因式分解的证明
这个证明确定了验证者将向验证者发送两个承诺,cp和cq,分别给p和q。随后证明p - q = n和p ∉ {±1, ±n}。尽管后者需要相当大的证明,但已经通过在一个已知素数阶的更小的组中执行证明(如椭圆曲线 elliptic curve)来规避这一点。下面,我们有一个完全交互式的零知识证明,它是上面关系的修改版本。这个协议利用了三个子协议,并通过它们导出了该协议的有效性和零知识证明。

推导协议和修改后的因式分解关系背后的计算会变得相当技术化,所以我们把它留给读者进一步研究。
总结
尽管我们经常受到数据安全威胁的警告,但当今的空投基础设施的传统内部机制几乎没有注意到这一警告。通过用一个新的加密架构来取代目前的结构,我们可以创建私人空投:这允许用户参与早期项目,通过空投的代币来奖励他们的忠诚度,并且不必担心将他们的凭证泄露给肆无忌惮的第三方。
Private Airdrop Protocol 迎合日常用户和代币发行者的需求,允许他们通过私人创世空投引导他们的新代币。尽管计算成本较高,但鉴于当前扩展解决方案的加速发展,这是一个合理的权衡。私人空投或许将在很大程度上确保加密货币的精神:所有人的安全和匿名。
本报告不是投资或交易建议。在做出任何投资决定之前,请进行自己的研究。资产的过往表现并不代表未来的结果。作者可能持有加密货币或使用本报告中提到的策略。
作者:Vaish Puri,来源:The Tie,下午由DeFi之道编译
郑重声明:本文版权归原作者所有,转载文章仅为传播信息之目的,不构成任何投资建议,如有侵权行为,请第一时间联络我们修改或删除,多谢。
早报 | Lighter 24 小时交易量突破 110 亿美元;Circle Q3 财报公布;Strategy 美股市值跌破其 BTC 持仓价值
整理:ChainCatcher 重要资讯: 币安将停止币安直播平台服务,币安广场将继续提供直播服务...
24H热门币种与要闻 | Sui将推出原生稳定币USDsui;美SEC拟推出基于Howey测试的代币分类法(11月13日)
1、CEX 热门币种 CEX 成交额 Top 10 及 24 小时涨跌幅: BNB -0.78%...
Defi之道
文章数量
89粉丝数
0