HOKIE: Introduces the Plookup algorithm
The basic idea
The problem Plookup tries to solve is to prove, given two sets, that elements of one set are in the other. Given two sets t and f, s is the sorted result of f. If the element in T appears at least once in F. To determine whether an element in F is included in T, we only need to compare the set of element differences:

For example, t is the set {1,4,8}, and the difference set of elements is {3, 4}, which are 4-1, 8-4 respectively. If s consists only of elements in t and each element occurs at least once, such as {1,1,4,8,8,8}, the set of differences of elements is also {3,4}. If the elements in S are not exactly elements in T, it does not follow that the elements in S are in the set of T even if the set of element differences is the same. For example, s is {1, 5,5, 5, 8, 8}, and the difference set of elements is {3,4}, 8-5, 5-1, respectively.
A random factor can be introduced to determine the dependency of two sets by adding the preceding and following elements.
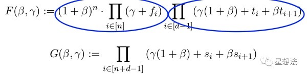
Defining polynomial
On the basis of the basic idea, two polynomials F and G are defined:

If F and G are equivalent to each other, the following conditions are true:
• F is a member of t
• s is the union of (f, t) and is ordered by the elements in t
If this is true, it follows that the two polynomials are equal. F polynomials can be viewed as having two parts, two serial products. You can view this as a multiplication of the elements in t. You can view this as a multiplication of the elements of f. Since the elements in F belong to t, the multiplication of the elements in F can be imagined as a multiplication of the same elements. Conversely, because of the random factors of beta and gamma, the two conditions satisfied can also be deduced from the F and G equivalents.
On the basis of defining polynomials, the problem can be transformed into two polynomials equal.
Plookup agreement
If you know f and t, you can sort it to get s. Since S is a combination of f and t, s can be represented by two functions, h1 and h2. The key is step 4, which defines the Z function:
• Z(g) = 1 - I started with 1
• Z(x) is the quotient of two polynomials
• Z(g^(n+1)) = 1 - n+1, both polynomials are equal

The verifier, in addition to looking at the Z function, also looks at the H1 / H2 continuity.
conclusion
Plookup proposes a protocol for proving the correctness of a function operation in the case of explicit input/output. The input and output are defined as lookup tables. The calculated input/result is correct as long as it is in the lookup table. Plookup and Plonk adopt the same idea, Plookup defines the polynomial representation of the problem, and proves the recursive representation and boundary of the Z function.
郑重声明:本文版权归原作者所有,转载文章仅为传播信息之目的,不构成任何投资建议,如有侵权行为,请第一时间联络我们修改或删除,多谢。
早报 | Lighter 24 小时交易量突破 110 亿美元;Circle Q3 财报公布;Strategy 美股市值跌破其 BTC 持仓价值
整理:ChainCatcher 重要资讯: 币安将停止币安直播平台服务,币安广场将继续提供直播服务...
24H热门币种与要闻 | Sui将推出原生稳定币USDsui;美SEC拟推出基于Howey测试的代币分类法(11月13日)
1、CEX 热门币种 CEX 成交额 Top 10 及 24 小时涨跌幅: BNB -0.78%...
HOKIE交易所
文章数量
31粉丝数
0