Messari 解读 Sperax USD:配备动态杠杆的混合稳定币
稳定币的最基本形式是作为一种交换媒介,使得传统的价值存储(例如,法定货币)可以在整个加密经济中使用。我们已经见证了 DeFi 协议以各种方式设计稳定币,尝试创建可扩容、资本高效且治理最小化的货币,以模仿我们现实世界的价值资产存储。为了让这些稳定币产生收益,用户必须采取额外的措施,在 DeFi 中借出它们。这一操作使稳定币成为一种资本资产,表现得更像是一个高息储蓄账户,而不是一种交换媒介。
有息价值存储
迄今为止,我们还没有看到一种去中心化的稳定币为其持有者提供原生收益。Sperax 旨在通过即将推出的稳定币 Sperax USD ($USD) 来改变这种状况。Sperax 是总部位于硅谷的一家区块链公司,其使命是构建世界上任何人都可以访问的 DeFi 基础设施。Sperax 的稳定币模型使用户可以随时存入或赎回 1 美元的协议价值,与 1 美元法币进行交换。与 FRAX 类似,支撑 Sperax USD 的抵押品,分别包含外部加密资产形式的外源抵押品,以及 SPA 形式的内源抵押品——SPA 是 Sperax 的原生治理代币,同时可以吸收波动性和累积价值。外源和内源抵押品之间的平衡将由协议的动态抵押品比率决定。
Speax USD 与其他去中心化稳定币的不同之处在于,它是一种原生收益资产。Sperax 将其外源抵押品部署到收益耕种聚合器,并定期将利息收入空投给 Sperax USD 持币者,赋予 Sperax USD 资本资产的属性。这一属性将激励持币者保持 Sperax USD 的流通,并使得 Sperax DAO 额外拥有了货币政策杠杆。

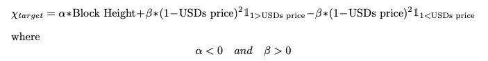
Sperax USD 价值的具体构成
目标抵押品比率 (?) 将决定任意时间点支持 Sperax USD 价值的抵押品构成,将由以下等式控制,当 Sperax USD 的交易接近其 1 美元锚定价格时,且随着时间推移,其作为资产逐步成熟,它将更青睐算法稳定模型:

来源 : Sperax USD 白皮书
Sperax 已经确定了上述参数的最优值,使协议能够响应快速的价格波动,另外目标抵押品比率以每月大约一个百分点的速度降低。 这些参数最终将由 Sperax DAO 予以管理。

Sperax 基金会计划先以保守的 95% 抵押品比率推出 Sperax USD,在开始阶段将 SPA 价格波动的影响降至最低。在采取这一预防措施的同时,Sperax USD 将由一篮子加密货币作为外源抵押资产,包括 USDC、USDT、UST、ETH 和 WBTC。与 Iron Finance 和 FRAX 等竞争对手在稳定币刚发布时完全依赖 USDC 相比,外源抵押中纳入 ETH 和 WBTC,可能会在刚发布时造成相对较大的波动。未来的抵押品类型将由 Sperax DAO 决定。资产的波动性及抵押不足的可能性将是敲定这些新抵押品类型的关键因素,但目标将是优选那些经历高增长和具备低相关性的资产。
稳定性杠杆 (Stability Levers)

当 Sperax USD 高于或低于 1 美元交易时所产生的套利机会,将作为 Sperax USD 的基础稳定机制。虽然套利留给市场参与者执行,但 Sperax 可以使用三个杠杆来激励市场以促进套利交易,维系 Speax USD 与美元的价格锚定。
动态抵押品比率 (Dynamic Collateral Ratio)

如前文所述,Sperax USD 的外源和内源抵押品之间的权重是一个动态目标,会随着市场波动而变化。在市场进入牛市时,由于抵押品价值膨胀,Sperax USD 的流通价格将攀升至高过其锚定价格。作为回应,抵押品比率将下降,Sperax USD 抵押品中 SPA 的价值占比将升高。套利者将能够铸造新的 Sperax USD,在去中心化交易所(DEX)以溢价售出,通过扩大 Sperax USD 的流通供应量,将其价格压低至与美元锚定的水平。抵押品中 SPA 的价值占比升高,将导致铸造 Sperax USD 时销毁的 SPA 比例也升高。
当市场进入熊市时,Sperax USD 的流通价格将因抵押品价值减少而跌至锚定价格之下。抵押品比率将上升,Sperax USD 的抵押品中一揽子外源加密抵押品的价值占比将升高。套利者可以在公开市场上以折扣价购买 Sperax USD 并予以销毁,以产生利润。在市场收缩期间,Sperax USD 对 SPA 的依赖减少,这意味着当 Sperax USD 被销毁时, 进入市场的 SPA 比例较小。由于抵押品比率的目标是每月减少一个百分点,随着协议逐渐成熟,Sperax USD 将逐渐更多地依赖 SPA 来保持稳定性。这也将给 SPA 代币带来通缩压力,因为该协议为新铸造 Sperax USD 而销毁的 SPA 平均占比比例上升。
Sperax USD 存款利率

本着提高资本效率的精神,Sperax 将其外源抵押品投入到广大的 DeFi 生态系统中。当用户铸造 Sperax USD 时,他们的外源抵押品被部署到 DeFi 收益耕种协议并赚取利息。Sperax 最初先使用 Aave 协议,但最终将创建自己的收益聚合器。为了产生收益,Sperax USD 铸造后需要至少 7 天才能销毁。在这一初始锁定期过后,收益聚合器产生的利息收入由协议收集,并每周分配给 Sperax USD 持币者。因此 Sperax USD 持币者得到直接激励,以保持该稳定币的流通。
虽然收益聚合器产生的利息收入金额将是可变的,且 Sperax 无法控制,但它仍然能够影响传递给 Sperax USD 持币者的利息收入。为了吸引 Sperax USD 的流动性并补偿新协议的风险,Sperax 将通过其 SPA 储备金发放补贴来提高整体利息支出。利息补贴还将作为一种机制,通过降低长期回报速度来稳定该协议的平均短期回报。其背后的想法是,波动率较小的收益率会创造出更具粘性的稳定币,并降低货币供应速度。
为利息补贴预留的 SPA 将设置封顶。随着 Sperax USD 趋于成熟,项目希望 SPA 的价值届时将变得更加稳固,已不再需要 SPA 补贴来激励 Sperax USD 的流动性。这意味着如果 SPA 要保持可持续性,最高长期储蓄率不能超过收益聚合器实现的利息。为了仍然保持对 Sperax USD 持币者利息收入的控制,Sperax 可以扣留收益聚合器产生的部分收入。这将产生另一种方式激励用户在价格低于其锚定值时销毁 Sperax USD。由于传递给持币人的利息收入将低于收益聚合器直接交互产生的利息,因此用户可以销毁 Sperax USD,直接从收益聚合器寻求收益。
动态交易费率(Dynamic Swap Fee)

为了对抗货币牛市和熊市所产生的波动,Sperax 对铸造或赎回 Sperax USD 收取动态费用。 对于一笔给定交易,任何操作的基本费用将从 0.1% 起步。铸造费旨在防止 Sperax USD 的发行泛滥,且当 Sperax USD 的 3 天平均价格低于 1 美元锚定值时,这一费用将按二次方增加。赎回费的目的是防止银行挤兑情况,避免造成支撑 Sperax USD 的外源抵押品数量被掏空。当 Sperax USD 赎回量与 Sperax USD 铸币量的 3 天平均比率超过特定阈值时,费用将呈指数增长。起始阈值将由 Sperax 基金会的模拟值确定,但未来将由 Sperax DAO 控制。具体增加的赎回费用也将为 SPA 质押者带来更多收入。当市场参与者预期 SPA 贬值并将其在公开市场上抛售,从而导致 SPA 价值进一步贬值时,这一价格壁垒会有助于缓解出现的负面反馈循环。因此,赎回费用的增加不仅会让赎回发生的成本更高及减缓 Sperax USD 供应量的收缩,还会导致在市场跳水时更多的价值回到 SPA 代币。
与任何其他算法稳定币一样,这一模型并非完美,并且寄希望于价格冲击相对短暂和无常。 不过,当价格冲击确实发生时,流通供应量扩张和收缩被拖慢,会降低重现最近 Iron Finance 闪崩情景的可能性,因为该协议的其他稳定机制将获得更多时间来启动和重新平衡系统。
降低破产可能
所有稳定币面临的最大问题之一是协议破产的可能性。当协议所持有资产的市场价值低于其流通的稳定币供应价值时,就会发生这种情况。抵押支持的稳定币模式采用超额抵押来抵御破产风险。一旦抵押品的价值下跌后太过于接近协议债务的价值,协议将清算抵押品以支付部分债务并保持偿付能力。由于 Sperax USD 的设计机制是基于非足额抵押,因此 Sperax 不具备雄厚的抵押缓冲。相反,协议破产的可能性只能通过增强对 SPA 价值的信心来予以缓解。
为防止破产,当总抵押品比率(锁定的总价值 / 流通中的 Sperax USD)低于目标抵押品比率时,Sperax USD 将启用单独的铸造和销毁比率。当这种情况发生时,Sperax 将向套利者释放更多的 SPA,并保留更大比例的外源抵押品。Sperax USD 的销毁将随之减少其流通供应量,且将余下抵押品比率推回到目标抵押品比率。
设计缺陷
Sperax 解决协议破产的方法是建立在牺牲现有 SPA 持币者利益之上,届时由于 SPA 过度通胀,这些持币者的资产将被稀释。尽管为利息补贴预留的 SPA 金额将被封顶,但用于缓解协议破产的 SPA 储备金不设上限,以确保协议的功能正常。当协议被迫从系统中清除坏账时,这会类似于 Maker 的 MKR 通胀。为了让 SPA 的价值继续支撑协议,交易费用收入和长期 SPA 通货紧缩两者结合,其影响力必须超过因缓解破产可能性而引起的通货膨胀。这在早期会让 Speax USD 更加举步维艰。因此在启动时,初始抵押品比率 (95%) 意味着其价值支撑几乎完全依赖于外源资产,仅有少量 SPA 供应会被销毁。鉴于抵押品比率旨在随着时间推移而逐步降低,因此销毁的 SPA 量应会随着 Speax 美元供应量的扩张而缓慢增加。
Sperax USD 模型的另一个缺陷涉及如何调整抵押品比率。与 FRAX 的 V1 版本类似,Sperax USD 抵押品比率与 SPA 市场流动性并无关联。当用户赎回 Sperax USD 并立即将他们新铸造的 SPA 投放市场时,这会导致 SPA 价格的负面反馈循环。如果 SPA 流动性不足,增加的供应将降低 SPA 的价值,且这一过程将不断循环往复。Sperax 所使用的动态交易费用机制将有助于在短期内缓解这个问题,但为了让协议可持续发展,它可能需要遵循 FRAX 采用的增长比率来确定抵押品比率调整。这意味着,随着 SPA 流动性相对于 Sperax USD 供应量的增长,抵押品比率将下降。假设赎回者立即出售新铸造的 SPA,只有当市场可以消化新增加的 SPA 供应而不会出现滑点时,才会增强 SPA 的可依赖度。
推测中另一个担忧是,Sperax USD 在投放市场时可能会面临身份危机。它融合了资本资产和价值存储资产的特性,可能会导致它根据市场变化而扮演不同的角色。当利率很高时,Sperax USD 可能更像是一个储蓄账户。当利率缩水时,Sperax USD 应该更接近于一种交换媒介。这种不断变化的行为特征与稳定币的可预测性自相矛盾,但也许这就是这一货币实验的重点。
未来发展路线
Sperax USD 即将到来的发布将成为 Sperax 项目迄今为止最大的里程碑。 到目前为止,Sperax USD 还没有「产品测试」。 相反,该基金会是依靠数以千计的模拟和测试模型来确定其稳定杠杆和算法支持的适当参数。Sperax USD 最初的稳定机制是由之前帮助构建 Luna 的 Terra 稳定币模型的一组研究人员开发的。其中一名团队成员 Marco Di Maggio 是哈佛商学院教授,也是整个加密领域中最受尊敬的算法稳定币研究人员之一。
随着 Sperax USD 的部署,Sperax 基金会将会把开发工作逐渐转移到推出一系列合成衍生品。该协议开发的衍生品将使用户能参与主动投资策略,而不是仅靠持有 Sperax USD 产生被动回报。Sperax 的愿景是成为世界上任何人建立保值金融产品的去中心化枢纽,而这些产品将是向着这一使命推进的下一个步骤。

来源 : Sperax.io
Sperax 最初将在以太坊网络上推出 Sperax USD 及其衍生品。在接下来的几年里,Sperax 基金会将把 Sperax USD 及其相关应用转移到 Sperax 智能合约平台,后者目前正在开发中。这个底层链将利用以 Speax USD 为基础的货币系统及其各种稳定性杠杆。鉴于 Sperax USD 兼具资本资产和交换媒介两种属性,如果成功的话,未来基于 Sperax USD 的金融生态系统的功能,可能会与我们之前看到的任何系统都大不相同。
受 Messari Hub 成员项目 Sperax 委托,以下报告由 Messari Hub 分析师撰写。 所有内容均由作者独立制作,并不一定反映 Messari, Inc. 或要求提供报告组织的意见。 Messari Hub 的付费会员资格不会影响编辑的决定或内容的选择。作者可能持有本报告中提到的加密货币。加密项目可以通过 Messari Hub 委托社区分析师进行独立研究。
撰文:Chase Devens,Messari Hub 分析师
编译:Perry Wang
郑重声明:本文版权归原作者所有,转载文章仅为传播信息之目的,不构成任何投资建议,如有侵权行为,请第一时间联络我们修改或删除,多谢。
早报 | Lighter 24 小时交易量突破 110 亿美元;Circle Q3 财报公布;Strategy 美股市值跌破其 BTC 持仓价值
整理:ChainCatcher 重要资讯: 币安将停止币安直播平台服务,币安广场将继续提供直播服务...
24H热门币种与要闻 | Sui将推出原生稳定币USDsui;美SEC拟推出基于Howey测试的代币分类法(11月13日)
1、CEX 热门币种 CEX 成交额 Top 10 及 24 小时涨跌幅: BNB -0.78%...