深度研究 逆向解构Curve V2
以为Uni V3 已经开启了AMM 通用兑换的巅峰,没想到Curve V2 是更为艰难的“冈仁波齐峰”。在为技术蝶变而惊喜的同时,我们更惊讶地发现这些头部DEX/AMM 项目正在走向一种“大同归一”的演变模式,就像今天要讲的Curve V2 实际上正是一种直接竞争Uniswap 的通用兑换模式,而在这之前不久,UniV3 也正式携全新的数学模型向Curve V1 长期霸占的稳定币交易领域干涉和蚕食。本文尝试用逆向解构的方式呈现Curve V2 的基本数学原理。
基础模型
简单来讲,CurveV2 采用了一种跟UniswapV3 非常类似的基本哲学——围绕“均衡点”聚集流动性。两者都并未依赖外部预言机来达成“均衡点”,而是依靠传统AMM系统内的交易博弈,直至系统均衡,在Uni V3里叫“职业做市商LP紧跟市场变化调整range”,在Curve V3中其命名为“内部预言机internaloracle”。作为两大最顶尖的AMM项目,可见其对任何外部风险都十分敬畏。虽然没有依赖外部因子,但这两种模型,尤其是CurveV2,在通用兑换的道路上给出了非常优越的无常损失、集中流动性、提升资本效率、低滑点、动态费用等一系列难题的解决方案。这当然得益于其“变态”的数学模型。

(图1)
数学模型最核心的部分是其创造了一条全新形态的曲线。从上图直观来看,两条虚线是恒定乘积曲线,蓝色线是著名的Curve V1稳定币兑换曲线,而Curve V2构造的黄色曲线具备两个基本特征——
(1)介于恒定乘积曲线和Curve V1曲线之间;
(2)其曲线尾部特征拥有明显的恒定乘积曲线拟合。
所以它可以解决什么问题:
(a)继承了Curve V1在“均衡点”附近区域超低滑点和聚集流动性的优势;
(b)通过介于恒定乘积曲线和Curve V1曲线之间,以及在曲线的中尾部区域向恒定乘积曲线拟合,获得恒定乘积曲线快速响应流动性变化的优势,避免池子流动性枯竭,灵活响应快速的市场变化。
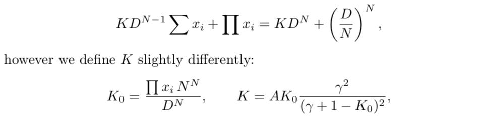
直接来看表达式:

(图2)
乍一看十分晦涩,这里再引用一张KurtBarry 分享在twitter上的图:

(图3)
稍微有点恍然大悟。没错,CurveV2 的“变态”曲线其实也是脱胎于Curve V1表达式。

(图4:CurveV1 表达式)
当K0 趋近于1时,即从曲线形态上逼近“均衡点”范围时(对照图1 来理解),整个Curve V2表达式将退化为Curve V1表达式,使得兑换曲线拥有Curve V1的优良特性。
公式里最复杂的引入变量是gamma,它的由来要从图1中的两条恒定乘积曲线来讲。上方恒定乘积曲线与Curve V1表达式共同成就了V2曲线的“均衡点”区域范围,而下方恒定乘积曲线是对上方恒定乘积曲线的一个参数化缩小,即
上方恒定乘积曲线:

下方恒定乘积曲线:

gamma是一个很小的正小数,在曲线形态上会比上方曲线更缩进原点。如前所述,CurveV2 需要引入这么一条gamma曲线,使得V2 曲线摆脱V1曲线在中、尾段的劣势(流动性枯竭和快速响应汇率变化),也就是让曲线拥有更大的后半段曲率。在这个基本原理的指引下,我们需要逆向来理解表达式的构成——
当坐标变化不断向横纵坐标轴的远方移动时,越趋近无穷大,V2曲线形态越向下方恒定乘积曲线拟合。即K0 趋近gamma,CurveV2 表达式reduction:

移项:

很明显,这将是一条偏向下方恒定乘积曲线的新曲线。
在这里,我们暂时只能从混合曲线的基本构造原理出发,逆向来解释Curve V2表达式的构成缘由,即以极限的思想分别向“均衡点”范围逼近以及向横纵远端逼近,表达式会分别reduction为Curve V1和恒定乘积曲线,以此来实现Curve V2将Uniswap 和Curve V1融合的目的,使得这种复杂混合曲线可以支撑通用兑换,并且具备更好的集中流动性和滑点优势,同时保留Uniswap对流动性的保护以及对市场汇率突发变化的响应优势。
内部预言机
其实Curve V2还有一项非常重要的创新——内部预言机repegging机制。这项机制对实施更好的集中流动性以及减缓无常损失是十分有利的。
Curve V2 引入了一种price_scale的价格度量,比如池子中有USDT 和B_token两种资产,balance为b=[1000,500],汇率上1 B = 2USDT,则price 为p=[1,2],最后相乘获得一种scaledbalance 为x=[1000,1000]。

结合图1,在均衡点处,scaledbalance 序列内元素相等(恒定乘积特性)——

随着市场汇率的变化、兑换的发生、LP做市行为的影响,系统坐标点会逐渐偏离原始“均衡点”,如果不加以纠正曲线形态,不仅会造成流动性的聚集性减弱,还会带来无常损失。CurveV2 为此提出了MarketPrice Update 机制【1】——
i)exponentially moving average (EMA) price oracle
ii)profit measurement
iii)repricing algorithm (depends on i and ii)
概括来讲,系统会通过经典的内部预言机机制EMA不断捕获系统内汇率的移动序列,然后不断在每一次交易和做市行为后根据priceoracle 来更新一种名为收益度量(profit)的变量Xcp。

这种变量可以理解为每一次价格偏移距离原始均衡点的幅度,可以直观理解为,如果汇率变化幅度不大,系统公式将依旧以原始均衡点为根基,如果汇率变化非常大,坐标点在曲线上偏移很大,则系统应该重建公式,更换新的“均衡点”根基,以此来缩小无常损失和重新聚集流动性。Xcp这个变量便是用来量化合适可以更换公式和均衡点的手段。

如上所述,当Xcp突破阈值后,系统会根据此时更新的oracleprice 来更新price_scale,以此来为新公式定位新的均衡点位置,随后更新新的D值,获取新的表达式。
这样,原本固定的Curve V1曲线便会随着场内汇率的大偏移不断变换均衡点,使得永远在当前汇率附近具备最大的流动性,及时对抗套利者,减缓无常损失。论文中有关于此项机制非常详细的参数化定义,也是实现的复杂之处。
总结
Michael Egorov一如既往地不愿意多说,所以我们看Curve V2非常晦涩。本文介绍了V2引领性的两大创新机制:新曲线和repegging。这条新曲线不仅静态复杂,还拥有了动态属性,可以根据EMA 和Xcp智能响应系统偏移,让池子流动性最大化地聚集在当前汇率范围内,极大地提高了动态资本效率,这是可以超越Uni V3的地方。我们最终会发现,CurveV2 可以与Uni V3再组合。
郑重声明:本文版权归原作者所有,转载文章仅为传播信息之目的,不构成任何投资建议,如有侵权行为,请第一时间联络我们修改或删除,多谢。
早报 | Lighter 24 小时交易量突破 110 亿美元;Circle Q3 财报公布;Strategy 美股市值跌破其 BTC 持仓价值
整理:ChainCatcher 重要资讯: 币安将停止币安直播平台服务,币安广场将继续提供直播服务...
24H热门币种与要闻 | Sui将推出原生稳定币USDsui;美SEC拟推出基于Howey测试的代币分类法(11月13日)
1、CEX 热门币种 CEX 成交额 Top 10 及 24 小时涨跌幅: BNB -0.78%...
Defi之道
文章数量
89粉丝数
0