科普 | NEST 生态之可以算金融 CoFiX
整理 | NESTFANS.ZHIYU
出品 | NEST爱好者(nestfans.com)已获各链接原作者同意
引言:NEST Protocol 是一个去中心化的预言机网络,即将转型成为一个非合作博弈系统,为区块链世界通过非合作博弈的方式提供无需许可,可被任何人验证的价格信息流。基于这一价格信息流,可以开发很多有价值的金融产品。可计算金融 CoFiX ,便是基于 NEST Protocol 的第一款金融产品。
CoFiX 简介
CoFiX 由 Coinbase Ventures 、Huobi DeFi Labs、Dragonfly Capital 和 众多天使投资人投资,开发团队包括 AlphaWallet 、安比实验室、白皮书作者博弈论研究专家 Zaugust 等。
自 2020 年 10 月份上线以来,初始 LP 便达到过亿美金的体量,CoFiX 协议收益累计达6000 多枚 ETH ,分配给所有持有 CoFi Token 的锁仓爱好者 20% ,现仍有 5000 多枚 ETH ,存放在收益池。
具体发展过程事件请看《CoFiX 回顾与展望 V2.0即将登场》。
CoFiX 1.0 被定义为可计算金融,即一个可以利用 NEST Protocol 提供的链上价格信息流,对风险管理进行计算,实现有效对冲的DeX,具体可看《CoFiX 白皮书》:https://mp.weixin.qq.com/s/pptkhlldqYe2iwZcpuQ9qQ
CoFiX 2.0 系统性升级
发展过程和实践过程是缓慢和困难的,在延续 CoFiX 1.0 理念的基础上,通过对各类交易模型以及智能合约开发的深入研究,我们看到 CoFiX 2.0 做出了重大调整,在提炼真实需求、提高资金利用率、提升 CoFi Token 价值捕获能力等方面持续深耕,下面请看 CoFiX 2.0 协议升级文档。
MEDIUM 英文原文链接:https://medium.com/cofix/cofix-v2-0-upgrade-document-5c8972919baa
CoFiX2.0协议升级文档
关于对冲
CoFiX 1.0 要求 LP 进行完美对冲的处理,这里存在几个问题:首先是大部分 LP 不清楚如何对冲,或者做不到自动对冲,其次是对冲依然存在一定的成本,比如 0.002 的手续费等等,而且对冲需要额外准备一定的资产在交易所或对冲渠道内。这对 LP 提出了一定的挑战,在市场不那么有效的情况下,对冲的隐性成本不低。因此我们 2.0 拟引入套利对冲的思路。
套利对冲
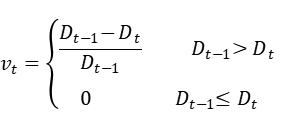
套利对冲要求交易对的资产比例保持恒定,比如交易对 ETH/USDT 初始资产比例为 1:500 即1 ETH = 500 USDT,并要求整个池子在运作的过程中一直保持这一比例(做市商加入的时候需要按照初始比例打入双向资产),一旦交易者破坏了这个比例,则给与反向交易到初始比例的交易者一定的激励,且该激励随着时间推移不断加强,直到这些交易者能够覆盖对冲成本为止。交易者这一操作叫做套利对冲。
对冲挖矿算法
对冲挖矿算法和 CoFix 1.0 相比,差异在于不再针对每一笔交易进行挖矿奖励,而是对套利对冲行为进行激励,激励的算法如下:
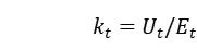
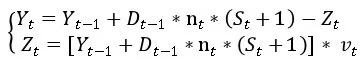
定义:第 t 次交易后池子内 ETH 数量为
, USDT 数量为
, 第 t 次交易的价格为
,即以USDT 计算的 ETH 价格
1) 第 t 次交易后池子资产比例为:

其中:
为池子资产初始比例。
2)交易挖矿公式
公式注释:
①
为 t 时刻总的交易出矿量,
为 t 时刻单笔交易的出矿量。
②
为每一单位 ETH 标准出矿量为,当前
。
③ 为 t 时刻
调整为
时所需要的 ETH 交易规模,其公式为:

④
为 t 和 t-1 笔交易的区块间隔。
⑤
为单笔交易的出矿系数, 其计算公式为:

交易出矿量的分配:
1)交易出矿量
的 10% 流向节点矿池。
2)90% 归该笔交易者。
做市出矿
1、池子 NEST/ETH 每个区块出 3 个 CoFi;
2、ETH/USDT 出 1 个 CoFi
3、ETH/HBTC 出 1 个 CoFi
做市出矿量的 10% 流向 cn 节点,其他的分给做市商。
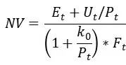
做市商份额计算和提取
做市商是按照初始比例
打入双边资产,因此份额计算比较简单,按照打入的
ETH计算即可。而每一份的净值,按照以下公式计算:

其中
为池子总份额,
为未经过 K 值的 NEST 有效价格,提取资产按照
的比例返回双边资产,如果余额不够则返回最大可提取的份额。
DAO 的治理
DAO 治理主要是针对以下内容:
1. 代码修正和升级:
前期采用多签,后期逐渐转向投票,核心是投票的标准,目前 NEST 采用51%,及约定生效期(比如 5 天,详细可以参考 NEST 投票)投票方式和 NEST 投票一致。
2. 可挖矿资产的确定和分配:
这一部分是 DAO 最重要的部分,投票生效的标准
1) 确定挖矿的资产,其佣金进入分红合约,标准要完全明确,最好是链上可证,否则要求合约在挖矿和非挖矿之间切换足够流畅且无矛盾
2) 不挖矿的资产,佣金直接进入资产池(暂无自动对冲算法,未来可能增加折扣销售功能来自动对冲)
3) 投票比例需要认真设计,这块目前还没有完全确定
3. DAO 账户的管理:回购(此次升级取消分红)
1)DAO 账户持有两种资产:CoFi 和 ETH
2)DAO 账户的功能
回购:任何人可以按照 NEST 预言机的 CoFi 价格,向 DAO 出售 COFI。
3)DAO 账户的执行
回购操作:任意 CoFi 持有人 A,可以按照以下规则将 CoFi 打到 DAO 账户并获得 ETH:
回购价格:NEST 预言机报价 CoFi
回购规模:每个区块释放 50 CoFi 回购额度,随区块累加,累计到 300 区块不再增加(需有人回购一部分后继续释放至最多 300 区块的总量)
回购约束:NEST 预言机里 CoFi 当前价格和均价相差超过 5% 时,不可以回购
回购后 CoFi 去向:暂存等待未来销毁
每次操作回购,会调用预言机数据,回购者需要支付调用费。
升级的安排
未来 CoFiX 的升级,希望能做到以下原则:
1. 资产池不变,避免取出重新存入这样的操作
2. 先部署,后触发
3. 社区有一个升级的流程,并经过了验证和训练
K值的计算

其中:
1、
为秒级波动率
2、 T 为时间延迟:T=(打包成功区块高度-最近有效NEST价格所在区块高度)* timespan
3、
的公式如下:

结语
CoFiX 2.0 的升级不仅对 DeX 赛道而言是一次创新突破,对于 NEST Protocol 非合作博弈系统来讲,更是在证明价格信息流的应用价值。去中心化协议的发展是艰难的,在秉承区块链本质发展的同时,要以客观、理性、发展的眼光看待事物,期待 CoFiX 2.0 。
郑重声明:本文版权归原作者所有,转载文章仅为传播信息之目的,不构成任何投资建议,如有侵权行为,请第一时间联络我们修改或删除,多谢。
早报 | Lighter 24 小时交易量突破 110 亿美元;Circle Q3 财报公布;Strategy 美股市值跌破其 BTC 持仓价值
整理:ChainCatcher 重要资讯: 币安将停止币安直播平台服务,币安广场将继续提供直播服务...
24H热门币种与要闻 | Sui将推出原生稳定币USDsui;美SEC拟推出基于Howey测试的代币分类法(11月13日)
1、CEX 热门币种 CEX 成交额 Top 10 及 24 小时涨跌幅: BNB -0.78%...