如何让TeFi更好的融入DeFi?
Traditional financial market has been an important but missing part of DeFi, out of concern for compliance, safety, profitability and so on. In this passage we sort out the current entrances that act as a bridge to connect TeFi and DeFi and allow users from traditional market to take more advantage of DeFi.
DeFi由相互连接和可组合的金融组件构成,这些组件相互连接并建立在彼此之上,形成了一个非常有趣的金融创新生态系统,它改善现有的金融系统并改变了游戏规则。但目前DeFi与传统世界是相当割裂的,DeFi上资产大多是链上原生资产,主要用户也都是链上玩家。目前来看,DeFi的体量无法与CeFi(中心化金融)相提并论,但事实上DeFi与CeFi不是完全对立的,DeFi真正目标应是利用去中心化的优势去为金融市场提供解决方案,为人们解决现实中的实际问题。
传统金融市场一直是DeFi所缺失的重要组成部分。打通DeFi与现实世界的桥梁,才能扩展DeFi覆盖的经济活动范围,为CeFi带去更自由便捷的服务,同时释放DeFi的更多可能性,实现未来DeFi与CeFi的并驾齐驱。个人认为,如果传统市场要入局DeFi,首先考虑的是合规,其次是相对稳定的收益。(目前传统银行储蓄年化收益率约为0.06%)
我们根据目前传统金融市场进入DeFi的几大流量入口进行分类:
1. 利率篇
1.1 浮动利率
1.2 固定利率
2. DeFi项目迎接传统世界的尝试
2.1 传统金融入场DeFi的顾虑
2.2 中心化及去中心化实体涉足传统金融入口市场
2.3 前景展望
3. 合成资产
4. 现实资产上链
4.1 现实资产在DeFi借贷的首次实践
4.2 阻碍现实资产上链的几座大山
5. 总结
6. 参考资料
利率篇
下图(图1)为Aave上USDC历史存款与借款利率数据(黄线为借款利率,绿线为存款利率)。从图中总体来看,Aave上存款与借款利率波动都比较大,特别是牛市阶段,USDC借款利率曾飙升至50%以上。比如3月8日,USDC存借款利率分别为20.165%和57.252%。而反观近日,USDC利率则跌至存款APY 2.01%,借款APY 3.11%。(图2、图3)

图1
来源:aavewatch

图2

图3
来源:Aave
浮动利率
目前Defi上大多数借贷协议都采用浮动利率,当资金池里资产利用率Utility越高(资产利用率=借出资金/存入资金,比如资金池中有10万USDC,借出6万USDC,则这个池子的利用率为60%),即剩余可借资产越少,就会通过提高存款利率来吸引用户为池子提供更多资金。
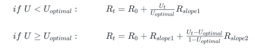
当池子里的资金利用率越靠近100%时,挤兑风险就越大。在利率模型上,Aave(公式如下图4,利率模型曲线如图5)设定了一个最优利用率Uoptimal,当池子中利用率U小于最优利用率时,即存款多借款少,利用率和利率都相对而言较低;而当资金利用率开始提高并大于最优利用率时,利率会变得很高,APY甚至可以到达50%以上。高利率促使用户归还借款或吸引存款,由此来动态调节资金利用率和存借款利率。至于Compound,其利率模型也采用了一个分段函数,在利用率超过某个设定值(最优点)时,利率随利用率的提高而急速增长。

图4
来源:Aave

图5
来源:DeFi Rate
浮动利率的高波动性让用户无法得知未来是否还能赚到现在的利息水平。对借贷双方来说,未来利率的不确定性其实都具有潜在的风险,因为资金利用率函数会导致利率变化较大,并对市场周期十分敏感。
固定利率
固定利率在短期内不会发生变化,可视为稳定的未来现金流,但长期内可以利率还是可以根据市场来进行调整。对初入DeFi的传统用户而言,稳定的收益更具吸引力。另外,相比起DeFi中抵押借贷、流动性挖矿等玩法,固定利率的学习门槛也更低。
DeFi固定利率赛道尚未出现龙头项目
目前DeFi也有不少固定利率项目,比如Barnbridge、Notional、 yield等。对比龙头借贷协议,这些项目的体量都非常小。而用户既然选择了承担DeFi的高风险,自然就会去追求更高的收益。固定利率吸引的存款少,锁仓量少,所以借款用户少,又导致存款用户少,是一个恶性循环。在活跃市场中,固定利率的收益预期更低,机会成本更高,这正是固定利率相比浮动利率的劣势。
固定高收益产品不可持续
Anchor是 Terra生态上推出了一个固定利率储蓄协议,可以将UST(Terra生态的稳定币)的年化收益率提高到20%左右。20%的固定年化足够吸引人的眼球,于是问题在于该年化是否可持续?
与其他借贷平台不同,Anchor上的存款并不能用作抵押品,存款人存入UST利息为UST,而借款人需抵押bAsset如bLUNA来借出UST。存款人的利息由两部分组成,一是借款人在进行借款时所支付的UST利息,二是借款人所抵押的PoS机制下bAsset所获得的区块奖励。Anchor通过动态调整给到借款人和存款人的奖励收益,来实现锚定约20%的利率。大多数PoS链的区块奖励来自交易费用和代币通胀(原生代币释放),假如PoS链原生代币的价格下跌;另一方面,熊市中链上交易减少,所以按U本位来说,这两方面的收益都将下降。长期来看Anchor很难维持承诺的20%左右的固定收益的。
今年5月,Anchor论坛上有人计算过,如果LUNA的价格下跌50%(以当时的价格),或Anchor上存款量增加五倍,在这两种情况下,Anchor储备钱包中的UST(当时储备钱包有570万UST)只能分别维持5.9和0.4个月。而官方团队基于该问题,于7月14日获得了Terraform Labs约7000万UST的拨款用于支撑协议未来1.5年的固定年化。目前Anchor储备钱包余额为7190万UST。我们按现在Anchor上存款量、储备钱包余额和LUNA价格来重新进行计算:
当前Anchor协议中,存款量为5.36亿UST,假定存款APY为18%,则协议应付给存款人共9648万UST作为利息。
当前Anchor协议中,抵押品即bLUNA的价值为5.49亿UST(bLUNA现价为$7.04)。假定Terra链上Staking的APY为10%(但其实现在Terra上Staking的APY为7.54%) ,则这些抵押品产生的收益为5490万UST。
当前Anchor协议中,借款量为1.75亿UST,假定借款APR为12%不变(目前借款APR为12.17%),则Anchor上借款利息收入为2100万UST。
理论Anchor的净收益为5490万UST+2100万UST-9648万UST=-2058万UST。
如果其他条件不变,现在$LUNA下跌50%,则抵押品的价值减半,在维持抵押率不变的情况下,借款量也将减半,则借款利息收入减半。其余不变,则此时Anchor的净收益为-5853万UST;
同理如果其他条件不变,现在Anchor中存款量增加五倍,则Anchor应付利息增加五倍,其余不变,则此时Anchor的净收益为-4.07亿UST。
在这个模型中,LUNA的价格、存款量、PoS Staking的收益、借款利率等都是变量——LUNA价格下跌(也会导致Staking收益下降)、存款增加,都会导致Anchor都需要自己提供资金来支撑这承诺的收益。当储备钱包中UST被用完后,Anchor给出的高固定利率根本无法持续。(所以Anchor前几天从Terra获得7000万UST拨款来增加储备)

图6
DeFi项目迎接传统世界的尝试
传统金融入场DeFi的顾虑
虽然DeFi的高收益对传统领域足够具有吸引力,但传统资金之所以迟迟不敢入局DeFi,原因有下。
首先,DeFi高收益的同时需要承担高风险,且对于传统用户来说,流动性挖矿、链上抵押借贷等有一定的学习门槛;其次,DeFi具有抗审查的属性,这恰恰与传统机构用户考虑的合规、监管等要求相悖。另外,出于安全考虑,机构用户大多使用的是高安全等级的多签钱包,而不是Metamask这类网页端插件钱包。此前机构只能通过零售或Coinbase等托管机构或经纪公司进入市场,DeFi入口渠道十分有限。
中心化及去中心化实体涉足传统金融入口市场
前段时间,Coinbase推出一款产品,允许用户通过出借USDC获得 4%的年收益率APY,但“借出USDC不受保护,可能受到对方信用风险的影响,会导致资金全部损失。”稳定币USDC的发行方Circle上个月也推出了Circle Yield,该产品受监管且可供企业和金融机构等使用。根据不同期限,存款固定收益从4%-4.15%不等。(USDC目前市值排名第七,是市值排名第二的稳定币,其发行公司Circle于7月8日宣布将通过借壳上市纽交所。)
Compound和Aave也推出了面向产品机构用户的产品,潜在对象包括新银行、金融科技公司、甚至是一些家族企业、对冲基金、养老基金等非加密领域的企业与金融机构。Compound推出的“Compound Treasury”通过与Fireblocks和Circle合作,允许这些机构用户将美元兑换成USDC,并获取4%的固定利率,这4%包括Compound中USDC存款收益和流动性挖矿的收益。Aave则是联合Fireblocks推出“Aave Pro”,通过数据安全企业Chainalysis引入自动化的反洗钱、反欺诈等筛查,允许白名单KYC用户在遵守合规要求的前提下进入DeFi。Aave Pro池子使用Aave V2合约,并与Aave中其他流动性池子分开。
前景展望
纵观以上四款产品,Circle和Coinbase发展前景可能会更好。首先,Compound Treasury面临的问题将会和Anchor类似,因为Compound承诺的4%收益来自存款利息和流动性挖矿。随市场环境的变化,普遍来说DeFi协议的利率以及收益率都在降低;其次,流动性挖矿的收益浮动大,如果COMP(Compound代币)价格下跌,从U本位来看收益率也会下降。4%的固定收益虽然相较其他流动性挖矿不高,但也有不可持续的风险。Aave虽然能实现合规,但是目前来看,Aave似乎不是固定收益,而是一个仅面向KYC用户的Aave Pro。而Circle(如果上市)和Coinbase,既能合规,也有一定的背书,更符合传统市场的诉求。
反观Aave和Compound作为DeFi头部借贷协议,推出这两款产品的意义重大。他们不仅为传统机构和用户提供了DeFi入口,更能让更多传统世界的用户慢慢接触和参与到DeFi中来。打通传统市场进入DeFi的渠道不仅能引进大量资产,更连通了CeFi与DeFi,为DeFi带来更多可能性。
合成资产
在合成资产出现前,DeFi上无法交易传统金融市场里的大宗、外汇和股票等资产;而Synthetix、UMA、Mirror等合成资产项目的出现,让合成资产与真实资产价格相挂钩,从此人们可以在链上交易传统金融市场里的大宗(如黄金、白银)、外汇(如USD、EUR)和股票(如特斯拉、苹果)等。合成资产打通了传统金融市场与数字货币市场,对跨链资产聚合、出圈、金融衍生等有着重大意义。
-
Synthetix
在Synthetix中,用户通过质押原生代币SNX获得sUSD(抵押率400%),sUSD可以Synthetix Exchange购买合成资产(S资产),获得风险敞口但不真正持有基础资产(不会有股息等产生,本质上只是该资产价格的锚定)。S资产由链上直接生成,价格通过实时预言机获取而不由市场买卖决定,所以在大额交易的时候没有滑点。
-
Mirror Protocol
Mirror是Terra生态上的合成资产项目,用UST(最小抵押率150%)或LUNA、MIR、ANC(最小抵押率200%)可以铸造、交易股票、期货、交易所基金等合成资产,这些合成资产可以在Mirror、Uniswap等上交易。
合成资产的出现成为了交易的桥梁,降低人们进入金融市场的门槛(比如今年年初,多家券商和平台如Robinhood等限制GME股票的开仓,此时人们就可以利用合成资产去交易这些股票)。它大大的拓宽了目前DeFi的边界,丰富了DeFi的应用场景,是加密金融通往传统金融的关键窗口,也是加密世界通往传统金融市场的桥梁。
现实资产上链
几年前资产通证化的概念提出时就有人提出将现实资产引入链上世界,现在非同质化通证NFT可以用来对应任何具有经济价值的实物或虚拟资产,为现实资产上链提供了条件,也为DeFi的出圈打开了一扇门。
现实资产在DeFi借贷的首次实践
今年4月,MakerDAO和Centrifuge发行了世界上首笔基于DeFi的现实资产贷款。Centrifuge是将发票,房地产、特许权使用费等资产桥接到DeFi,以NFT的方式将实物资产抵押在智能合约中;MakerDAO则可以为这些资产提供信用额度。Aave的治理论坛上也发起建立现实世界资产(RWA)抵押借贷市场的提案,即用户可以向市场提供流动性,对这些现实世界资产进行借贷并从抵押品中获得利息。
资产上链不仅为现实资产进入DeFi生态提供入场券,还具有提升资产所有权信息的透明度、简化交易程序并降低交易成本等优点。但现实资产上链目前还没有取得广泛应用,因为基础设施、法律权证方面都有很多问题亟待解决,个人认为在这些客观条件完善前,在近期未来都无法大量得到应用,很难成为一个有效的将传统世界汇入DeFi的流量接口。
阻碍现实资产上链的几座大山
首先,现实资产上链面临的一个重大问题是链上链下信任断层。如何定义资产的价值?本质上还是要依赖于链下数据。如何保证链下信任?依托于法律和监管。而当链上与链下世界进行交互,同样会面临风险和问题——所以需要一个可靠且安全的预言机,在铸造、交易和管理等环节提供准确的数据,将链下可信数据转化为链上可信通证与可信数字资产。才能进而通过传统金融机构或进入DeFi (去中心化金融)获得金融服务。
其次,资产有优有劣。就抵押借贷来说,如果是优质资产,其实完全可以从传统金融机构获得支持,而且利息和风险都比链上低;如果是劣质或垃圾资产,传统机构不认可,放到链上风险将进一步扩大;剩下一部分资产,由于缺乏统一的资产评估方案,则需要第三方去调研、审核和验证,这又与去中心化的初衷有悖。另外,对接实体经济必然要面临技术与法律风险。对于一项资产,是否存在链上链下多抵,也很难去判断。
再说,如果房地产、金融票据、应收账款、仓库收据等被用作抵押品,而他们本身无法交易或者流动性很差,很难获得可靠的喂价。如果涉及到底层资产清算,该如何处理这些抵押品?
如果这些问题得不到解决,从目前发展阶段来看,由于缺乏基础设施和中间件,技术手段和法律程序都不完备,注定现实资产上链无法实现大规模的范例。虽然MakerDao和Aave都在推进现实资产的抵押借贷,但也只能停留在实验阶段。
总结
以上几个作为传统流量的入口来看,Coinbase和Circle这类实体牵手DeFi项目,首先就满足了合规的需求。Compound、Aave作为DeFi原生项目,给传统市场带去稳定的收益,可看作是储蓄类产品,对比起DeFi中的各种玩法来说学习门槛更低。
虽然合成资产目前在这几个类别里体量比较大,但理解和使用起来有一定的门槛,所以目前使用合成资产也都是DeFi里的用户,很难引入新的增量资金和用户。
至于现实资产上链,它可以突破地理等界限,但是需要完善基础和配套设施,如可靠的预言机、统一的资产评估方案、成熟的托管和保险体系等。在上述问题得到解决前,现实资产上链的构想虽然很好,但始终难以得到大规模的应用。
参考资料
1.What is the average interest rate for savings accounts?(2021年7月2日)
URL:https://www.bankrate.com/banking/savings/average-savings-interest-rates/
2.Borrow Interest Rate
URL:https://docs.aave.com/risk/liquidity-risk/borrow-interest-rate
3.Aave Gets Competitive With New Interest Rate Models(2020年5月15日)
URL:https://defirate.com/aave-interest-rate-model/
4.URL:https://v2.aavewatch.com/market/aave/usdc
5.Authorize use of emergency community funds if reserves run out
URL:https://forum.anchorprotocol.com/t/authorize-use-of-emergency-community-funds-if-reserves-run-out/565
6.3 reasons why Terra (LUNA) price rallied by 20%(2021年7月8日)
URL:https://cointelegraph.com/news/3-reasons-why-terra-luna-price-rallied-by-20
郑重声明:本文版权归原作者所有,转载文章仅为传播信息之目的,不构成任何投资建议,如有侵权行为,请第一时间联络我们修改或删除,多谢。
暴跌中币价相当坚挺,从HIP、Vaults以及Token模型的角度再谈Hyperliquid
自2014年门头沟事件起,中心化交易平台的腐败与市场操纵问题便始终困扰着Crypto的所有参与者。...
今日推荐 | 速览Berachain背后助推器Royco:TVL突破30亿美元,跃居Yield协议第二!
过去一年,DeFi生态简直是“开挂”状态,资金如洪水般涌入,机构疯狂布局,大家都在说:这波赚钱机会...
Uniswap V4 正式上线后 ,有哪些值得关注的创新项目?
编者按:文章介绍了 Uniswap V4 的创新性功能,重点阐述了 Hooks 的模块化特性,使开...
波场TRON行业周报:“就职典礼”利好出尽,TRX成WLFI战略储备之一
一.前瞻1. 宏观层面总结以及未来预测市场普遍预计,美联储将在1月30日的会议上决定维持当前的联邦...
来火币HTX过肥年:春节乐翻天,$60万红包抢不停,更多新春福利待领取
春节将至,火币HTX携手波场TRON生态推出“春节乐翻天,$60万红包抢不停”活动,用数字红包传递...