Curve的迭代:由线到面
之前Uniswap V3推出的时候,不少小伙伴们在想:Curve会不会被Uniswap V3干掉。如今Curve V2出来了。Curve 非但没有被干掉,且其前进的步伐更进一步。
从目前看,Curve的TVL(锁定资产总价值)达到91.7亿美元,接近于第一位的AAVE,按照当前趋势,Curve的TVL在未来一段时间有一定的概率超过AAVE位居首位。

(DeFi的TVL排行,DeFillama数据)
目前Uniswap V3的TVL是16.1亿美元,Uniswap V2为44.2亿美元,仅从锁定资产总量看,距Curve有较大距离。虽然TVL不能代表全部,但从一个侧面说明了Curve发展的迅速,它对于资金的吸引力在增强,之前不少人担心Curve会被Uniswap V3干掉的局面并没有发生。
Uniswap的V3更适合专业的做市商
要想理解 Curve V2的迭代,理解Uniswap的迭代也有帮助。在Uniswap V2的设计中,其所有LP的做市模式是无差别的,唯一差异是每个LP因为其提供的做市资金不同而产生份额比例的不同。
在这种设计机制下,计算贡献的主要方式是资金和时间,资金份额越大,提供时间越长,收益越大(当然如果产生无常损失,损失也会越大)。因此,LP增加其收益方法是,增加其份额比例和提供时间。
Uniswap V3则打破了这种设计,引入了竞争性的模式。对于LP来说,要想获得更大的收益,不仅关乎投入的资金量,也关乎LP的策略设置。在这种情况下,对于专业的LP提供商有利,对于非专业的普通用户或大资金提供者不一定有利。
在Uniswap V3的流动性提供机制设计下,LP可以将其提供流动性的资金进行个性化设置,将其资金自定义地置于某个区间,以增大其资本的利用率,同时获得了更高的杠杠,有利于获得更大的收益,不过,同样不可避免的是,也增加了相应的无常损失的风险。
总结来说,当LP将其资金聚集在当前市场汇率的周围时,本质上是对市场趋势的一种判断。流动性聚集区间越窄,可获得的杠杠越高,收益也可能越高,但如果波动过大,则无常损失也会相应增大。因此,会有大量的LP不断进行各种策略的探索,从目前看,大量的资金都汇集在50%的波动性范围之内。






(Uniswap V3部分代币对流动性分布,DuneAnaylytics数据)
从上面的图中,我们可以看出,绝大多数的流动性都往当前汇率价格附近聚集,且有些流动性的聚集度非常高。
通过流动性聚合,Uniswap V3本质上是引入了LP做市的竞争。会玩的LP可以根据市场的波动将其流动性进行合理调整,以获取更大的收益;而有些LP调整如果没那么及时,其收益就会降低,甚至如果市场价格波动到其价格范围之外,其流动性资金也无法赚取费用。当然,如果LP设置的价格区间过窄,无常损失也会更大。收益越高风险越大,这一点并没有变化。但如果设置不到位,收益变小,甚至没有收益。因此,根据市场的变化,需要讲究策略。
在这种情况下,作为普通LP可能越来越无法跟专业的LP竞争,在交易市场总量相对的情况下,专业LP会赚取更多的收益。因此,可能会催生更多的做市策略商,它们的资金不一定多,但如果其策略足够好,它可以帮助其他非专业的LP进行做市管理。普通LP可以将其资金存入到专业做市管理商的合约中,由这些专业的策略商聚合后进行统一管理,包括如何选择价格范围、重置的频率等。在Uniswap V3的设计下,大资金不一定收益就更高,策略的权重在上升。
Curve V2也适合普通LP的参与
Curve V2跟Uniswap V3在聚集流动性和提升资本效率方面目标相同,但具体方法不同,最终对于不同主体的影响也不同。
Curve V2价格曲线的兼容性
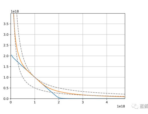
Curve V2在兼容性上表现不错。下面是Curve V2白皮书上的图:

(各种AMM曲线对比,Curve白皮书)
蓝线是其稳定币兑换曲线,是Curve V1的兑换曲线,而黄线是更通用的代币兑换曲线,是Curve V2的兑换曲线。从这条曲线,我们可以看到它的兼容性:一方面,兼顾了V1的稳定币兑换,同时还兼顾流动性的尾部,由此应对汇率的快速变化。相对而言,在Uniswap V3,绝大部分的流动性会集中在于盘口附近,尾部的流动性可能极小,我们在上面的实例中可以看到,这在事实上已经发生。
Curve V2的自动化做市
上面我们提到,Uniswap V3也可以改变其流动性聚集点,不过,它主要是通过LP们对市场的判断进行主动化的管理来达成。而Curve V2则是根据预言机进行自动化的调整。这使得普通的LP参与Curve V2更方便,而Uniswap V3正如上面提到的,逐渐变成了比拼LP策略的阵地,更适合专业的LP做市商。
比较来说,Uniswap V3是个性化的管理,而Curve V2是自动化的管理,这有点像互联网时代的个性化设置和自动化推荐之间的关系。互联网web1.0时代,用户是受众,无法上传内容或个性化管理自己的偏好;而2.0时代用户可以上传内容,可以进行个性化设置;而如今则进入智能推荐时代,以算法自动化推送为主,这更符合大多数用户“懒”的需求。从Uniswap V3到Curve V2也一种类似的感觉。
那么,Curve V2如何实现其自动化做市?
不断变化的新曲线
Curve V2为什么可以实现自动化的做市管理?可以让LP无须主动设置即可实现其流动性的再平衡?
Curve V2的价格曲线并不是固定不变的。它会不断通过内部预言机的方式来改变其流动性聚集点,一方面可以实现更好的流动性和提升资产效率,也有利于减少LP的无常损失。
也就是说,Curve V2的“内部价格预言机”在其流动性聚集点迁移方面起到重要作用。Curve的内部价格预言机机制为EMA(Exponentially Moving Average),意为指数移动平均线,它会根据Curve中的历史价格和最新交易价格等综合得出参考价格。
有了EMA,Curve V2可以构建新的价格曲线,使得流动性重新聚集在盘口价格附近。当然,什么时候进行流动性聚集的再平衡,也需要阀值。它会根据EMA(内部预言机机制)来不断获取内部汇率的移动,并更新Xcp的变量,以此来衡量波动率。如果汇率波动超过一定的阀值(损益比),则会更新曲线,产生新的流动性聚集点,由此保护LP的利益。
这对Curve 2的所有LP都是一样的,不用主动设置其流动性的价格范围,由系统根据其预言机价格自动将LP的流动性聚集到盘口价格附近。由于是通过自动再平衡来调整流动性的聚集,不同LP之间的流动性只有数量和提供时间差异,没有其他方面的差异,这跟之前的流动性提供没有区别,因此其LP份额代币依然可以是同质化的代币,这有利于其可组合性。而Uniswap V3由于不同LP做市价格范围不同,只能用非同质化的代币NFT来表达。
在Uniswap V3,LP除了自行设置价格范围,还可以自定义手续费用。而在Curve V2,这也是以自动化方式来解决。如果市场价格接近于流动性聚合的中点位置,其手续费最便宜,如果偏移越大,其费用会越高。
总结来说,从LP做市的角度,Uniswap V3越来越适合专业的LP来玩,相对而言,普通的LP较难跟上其调整的节奏,如果没有及时调整,很难争取到其做市的收益。这也催生了专业的LP,可以为普通的LP提供做市管理的服务。Curve V2则不用考虑这一点,只需要将资金注入到其流动性池,剩余的事情交由协议来完成,协议会根据价格的波动,不管构建新的价格曲线,将流动性聚集在交易价格附近。
跟Curve V1相比,Curve V2的价格均衡点会不断移动,会产生不断变化的曲线,就像是形成了一个虚拟的面。这种不断变化的曲线,使得流动性永远朝汇率附近聚集,提升资本效率,并减少了无常损失,同时对于用户来说,也可以降低滑点。
假设Sushiswap采用Curve 2的模式
在目前的竞争态势下,Sushiswap采用Uniswap V3的做市模式,不如采用Curve V2的做市模式,从某种意义上,Curve V3更贴近DEX内在的发展趋势。当然Uniswap V3也有其灵活性的特点,也有不少优势。
假设SushiSwap采用了Curve V2的做市模式,鉴于其目前的用户数和多链平台的策略,也许通过它可以更接近于Uniswap。
从Uniswap V3的迭代,再到Curve V2的迭代看,未来的DEX格局还存在很大的变数。还要考虑到一点,就是DeFi目前还处于非常早期的阶段,如逆水行舟,不进则退。我们可以来看看,DeFi上最重要的领域之一借贷市场的情况:去年六月,MakerDAO和Compound的用户数占据整个DeFi借贷市场的绝大部分(快接近90%),而AAVE仅有10%左右,如今,AAVE用户数占据市场的57%以上,而MakerDAO和Compound分别下降到19%和24%左右。

(借贷领域独立用户数的比较,DuneAnalytics数据)
DeFi的未来版图不会是固定的,而是充满无限可能性。
郑重声明:本文版权归原作者所有,转载文章仅为传播信息之目的,不构成任何投资建议,如有侵权行为,请第一时间联络我们修改或删除,多谢。
暴跌中币价相当坚挺,从HIP、Vaults以及Token模型的角度再谈Hyperliquid
自2014年门头沟事件起,中心化交易平台的腐败与市场操纵问题便始终困扰着Crypto的所有参与者。...
今日推荐 | 速览Berachain背后助推器Royco:TVL突破30亿美元,跃居Yield协议第二!
过去一年,DeFi生态简直是“开挂”状态,资金如洪水般涌入,机构疯狂布局,大家都在说:这波赚钱机会...
Uniswap V4 正式上线后 ,有哪些值得关注的创新项目?
编者按:文章介绍了 Uniswap V4 的创新性功能,重点阐述了 Hooks 的模块化特性,使开...
波场TRON行业周报:“就职典礼”利好出尽,TRX成WLFI战略储备之一
一.前瞻1. 宏观层面总结以及未来预测市场普遍预计,美联储将在1月30日的会议上决定维持当前的联邦...
来火币HTX过肥年:春节乐翻天,$60万红包抢不停,更多新春福利待领取
春节将至,火币HTX携手波场TRON生态推出“春节乐翻天,$60万红包抢不停”活动,用数字红包传递...