uniswap V3技术白皮书导读:核心是流动性集中

2021-04-08 12:04:27

uniswap V3一公布就引发广泛关注。相对V2来说,逻辑和代码都复杂一些。V3的核心是通过盘口区间提供流动性(集中式流动性),解决LP提供流动性时的资金利用率的问题。什么是资金利用率?V3如何推导区间流动性的计算公式?如何理解流动性?如何计算swap费用?本文先从V3技术白皮书详细分析开始。

先给出一些uniswap官方有关V3的资料:

  • V3官方介绍

https://uniswap.org/blog/uniswap-v3/

  • 技术白皮书

https://uniswap.org/whitepaper-v3.pdf

  • 智能合约代码

https://github.com/Uniswap/uniswap-v3-core

https://github.com/Uniswap/uniswap-v3-periphery

推荐先认真查看技术白皮书,再看智能合约代码,最后再对照官方介绍。理解了技术白皮书,代码非常容易理解。在技术白皮书的第一章总结了uniswap V3的技术特点,最核心的概念是"Concentrated Liquidity" (集中式流动性)。

资金利用率

先看看uniswap V2的资金利用率:

uniswap V3技术白皮书导读:核心是流动性集中

上图为资金池中的x/y的量变化曲线。资金池中的当前价格在c点,并且假设会在a价格点和b价格点之间波动。从c点向a点滑动,消耗最大y_real,从c点向b点滑动,消耗最大为x_real。也就是说,当前价格c点,在a点和b点之间震荡的话,最大只需要消耗x_real和y_real。理论上只要提供x_real和y_real就足够了。而事实上,如上图所示,在价格c点,分别提供了大于x_real和y_real的x和y。明显可以看出,x-x_real和y-y_real的资金在这种情况下是永远用不上的,也就称为闲置资金。

在这种情况下,资金利用率为x_real/x或者y_real/y。如果价格波动非常小的话,资金利用率是非常低的。uniswap V3就是尝试解决资金利用率低的问题。想法比较简单,所有资金可以只添加到某个区间,只添加到有可能价格波动到的区间范围。如何在某个区间添加流动性并提供swap功能是uniswap V3的重点。先从Virtual Reserves说起。

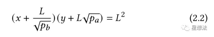
虚拟资金池(Virtual Reserves)

uniswap的交易采用的乘积固定模型(x*y=k)。所谓的虚拟资金池(Virtual Reserves),是指还在乘积固定曲线上,只提供某个区间流动性的资金池:

uniswap V3技术白皮书导读:核心是流动性集中

图中的墨绿色的曲线就是虚拟资金池满足的乘积固定曲线。事实上需要的资金的曲线如图中的橘黄色。橘黄色的曲线公式如下图:

uniswap V3技术白皮书导读:核心是流动性集中

你可以想象成虚拟资金曲线在x/y轴进行平移,使得a/b点和x/y轴重合。也就是用一定量的资金就能达到“虚拟”的交易曲线的效果。

如何计算在某个区间提供虚拟资金池,先要从深入理解流动性开始。

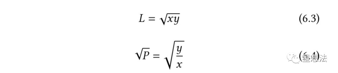
流动性(Liquidity - L)

乘积固定的交易模型,满足资金池中的两种代币金额满足:x*y = K。如果设定K=L^2的话,x*y = L^2。L就是我们说的流动性。由乘积固定的交易模型得出如下的公式:

uniswap V3技术白皮书导读:核心是流动性集中

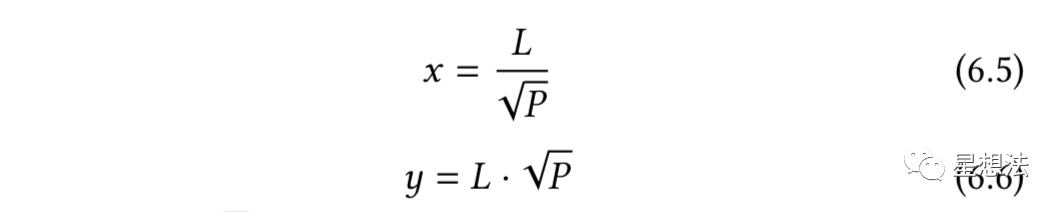
在已知L和sqrt(P)的情况下,也能推导出资金需求量x和y。

uniswap V3技术白皮书导读:核心是流动性集中

通过公式6.6,在流动性不变的情况下(不添加删除流动性),流动性可以看成是单位“价格波动”的y资金量的变化。”价格波动“打上引号是因为事实上是sqrt(P)的变化。

uniswap V3技术白皮书导读:核心是流动性集中

这个是uniswap V3核心公式(6.7),用相对值(资金和价格相对值)来计算流动性。所谓的流动性,就是单位“价格变化”的资金量。在一定的交易量的情况下,如果流动性好,价格变化就小,流动性不够的话,价格波动就大。

uniswap V3技术白皮书导读:核心是流动性集中

特别注意的是,一个区间上的流动性和V2的普适的流动性不同。一个区间上的流动性,重点在“区间上”。不同区间的流动性没有可比性。V2的流动性和区间上的流动性的区别如下图:

uniswap V3技术白皮书导读:核心是流动性集中

V2的流动性是“普适”的,在所有价格点上流动性相同。V3的流动性是由一系列不同区间上的流动性组成。相对来说,在当前价格左右的流动性比较高。流动性提供者LP只有提供了可供交易的流动性才能获取交易费。为了获取更多的交易费,为了提高资金的利用率,流动性提供者会将资金提供在合理的价格波动范围内。也就是说,在某个区间swap交易产生的手续费,只有该区间流动性提供者才能获取手续费。为了计算每个区间获取的手续费,引入了Tick的概念和计算方法。

Tick

在区间上提供流动性,带来很多复杂的情况:区间和区间的重叠覆盖。因为不同区间的流动性没有可比性,某个交易费并不能混入到流动资金中,等删除流动性时候一并提取。为了解决这个问题,uniswap V3引入了Tick的概念。交易费用实时结算并单独记录,并不混入流动资金中。虽然整个区间和区间的流动性没有可比性,但是,在具体的某个价格点上(一个价格片上),流动性是可比较的。uniswap V3将整个价格范围(负无穷到正无穷)分成一个个的Tick(价格点):

uniswap V3技术白皮书导读:核心是流动性集中

后一个价格点的价格是前一个价格点价格基础上浮动万分之一。

uniswap V3技术白皮书导读:核心是流动性集中

每个Tick也有一个唯一的序号。区间(Position)可以由两个Tick表示。逻辑上交易手续费可以一个个的Tick计算,并在每一个Tick上根据流动性的占比进行交易分配。先看看一个Tick范围的swap的计算。

Tick内的SWAP

假设有一个很小的量的y,需要swap为x。通过6.13的公式,可以计算出因为y的变化导致的价格变化。

uniswap V3技术白皮书导读:核心是流动性集中

再利用6.15的公式可以算出换取的x的量。

uniswap V3技术白皮书导读:核心是流动性集中

uniswap V3针对同样的交易对设置了不同的交易费:0.05%,0.3%以及1% (还可以添加其他费率)。如果是从Y换取X,则在换取之前先扣除手续费再进行上述的交换。

在同一交易池中只支持一种费率。也就是说,在一个交易池中支持不同的价格区间,但是都是同样的费率。如果需要添加同样交易对的不同交易费的交易池,必须创建新的交易池。

接下来,深入讲解一下 添加/删除流动性以及交易费用的计算逻辑。

6

添加/删除流动性

V3的添加/删除流动性是当前价格情况下在某个区间添加或者删除流动性。所有的流动性添加/删除流动性采用如下的公式:

uniswap V3技术白皮书导读:核心是流动性集中

注意,价格变化并不是指区间的大小,而是在某个区间上提供流动性,相对当前价格,“需要相应资金变化”对应的价格变化。

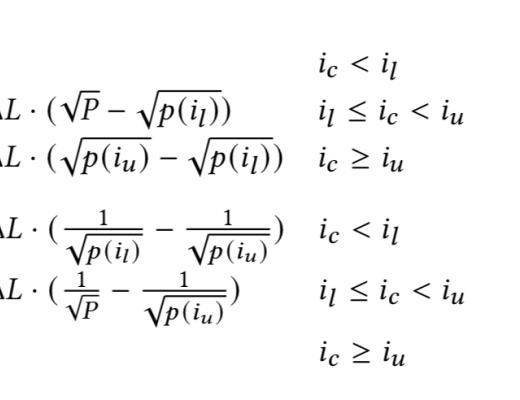
分为三种情况,想要添加的流动性区间和当前价格的关系。

  • 当前价格处于流动性价格区间 (il <= ic < iu)

uniswap V3技术白皮书导读:核心是流动性集中

因为价格在区间范围内,如果价格滑动到il,则需要提供y资金。如果价格滑动到iu,则需要提供相应的x资金。所以,对于delta_Y来说的,价格变化为sqrt(P) - sqrt(p(il));对于delta_X来说,价格变化为1/sqrt(P) - 1/sqrt(p(iu))。

  • 当前价格低于流动性价格区间

uniswap V3技术白皮书导读:核心是流动性集中

因为当前价格远低于il,即使从当前价格向iu滑动,也只需要x的资金,不需要y的资金。所以,在这种情况下,delta_Y = 0。因为从il滑向iu需要整个区间的x的资金,对于delta_X来说,价格变化为1/sqrt(il) - 1/sqrt(p(iu))。

  • 当前价格高于流动性价格区间

和第一种情况类似,不重复分析了。

7

Swap交易费用

uniswap最复杂的逻辑是计算交易费用并分配。在添加和删除流动性之前需要将相应的交易费用提取。

  • Tick上的总流动性

     在某个Tick上可以存在多个区间。在计算交易费用时,需要平摊这些费用给所有在这个Tick上多个区间的总的流动性。在每个区间的边界的Tick上记录下delta_L(所有以这个Tick为边界的区间的流动性总和)。

     存在一个全局状态:liquidity,保存当前价格对应Tick的流动性总和。当价格波动,穿过某个Tick时,会进行流动性的增加或者减少(取决于价格波动方向)。举例来说,价格从左到右穿过区间,当穿过区间的第一个Tick时,流动性需要增加,穿出最后一个Tick时,流动性需要减少,中间的Tick都没有流动性的增加和减少(delta_L为0)。  

uniswap V3技术白皮书导读:核心是流动性集中

  • 区间(Position)上的交易费用率

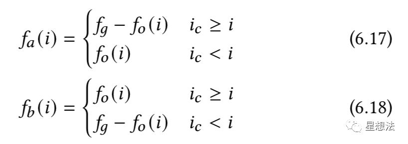
      计算一个区间上的交易费用率,采用总的费用率减去区间外的费用率的方法。在一个区间的边界Tick上记录feeGrowthOutside。所谓的feeGrowthOutside,就是“另外”一个方向上总的费用率。另外的一个方向是相对穿过当前Tick的方向而言。当价格从左到右穿过一个Tick,feeGrowthOutside指的是Tick左边所有区间的费用率。简单的说,就是价格要去方向的相反方向所有区间的费用率。feeGrowthOutside用fo表示。因为fo是一个Tick的两个方向的总的费用率,两个方向的费用率的总和肯定是等于fg(全局的费用率)。所以当穿过一个Tick时,这个Tick上的fo要进行翻转:

uniswap V3技术白皮书导读:核心是流动性集中

当一个区间创建时,区间边界上Tick的fo需要初始化:

uniswap V3技术白皮书导读:核心是流动性集中

如果当前的价格大于Tick的价格时,因为即使当前价格在设置的区间内,但是之前费用也不会分到,所以,可以简单的假想为所有的费用发生在Tick价格之下,也就是fo=fg。如果Tick的价格大于当前价格,价格还没有穿过Tick,因为假设了之前所有发生的费用发生在Tick价格之下,Tick之上是没有费用的,所以fo=0。在理解了这些逻辑的基础上,在swap的过程中,随着价格的波动,一个区间上,超过最高Tick的费用率以及低于最低Tick的费用率可以用如下的方式计算:

uniswap V3技术白皮书导读:核心是流动性集中

以低于最低Tick的费用率的计算为例,如果ic>=i (当前的价格是高于最低Tick的),低于Tick的所有的费用率就是fo(定义如此)。如果ic<i的情况下,fo记录的是高于Tick的所有费用率,所以需要翻转,即fg - fo。在获取了一个区间外的所有费用的情况下,计算本区间的费用率:

uniswap V3技术白皮书导读:核心是流动性集中

获取的费用率的基础上,用费用率乘以区间的流动性可以计算出该区间收取的费用。

总结:

uniswap V3版本核心思想是流动性集中。流动性提供者可以在某个区间提供流动性,提高资金使用率。在某个区间获取的交易费,由所有在该区间的流动性提供者均分。uniswap V3设计了区间粒度-Tick,并且推导了流动性添加/删除以及费用计算的过程。在之基础上,uniswap V3也更新了价格预言机的实现。

郑重声明:本文版权归原作者所有,转载文章仅为传播信息之目的,不构成任何投资建议,如有侵权行为,请第一时间联络我们修改或删除,多谢。

推荐文章

暴跌中币价相当坚挺,从HIP、Vaults以及Token模型的角度再谈Hyperliquid

自2014年门头沟事件起,中心化交易平台的腐败与市场操纵问题便始终困扰着Crypto的所有参与者。...

coincaso
322 11个月前

Ondo背靠特朗普与华尔街,RWA迎来爆发?

编者按:Ondo Finance 推出 Layer 1 公链 Ondo Chain,推动 RWA...

coincaso
333 11个月前

今日推荐 | 速览Berachain背后助推器Royco:TVL突破30亿美元,跃居Yield协议第二!

过去一年,DeFi生态简直是“开挂”状态,资金如洪水般涌入,机构疯狂布局,大家都在说:这波赚钱机会...

coincaso
363 11个月前

Uniswap V4 正式上线后 ,有哪些值得关注的创新项目?

编者按:文章介绍了 Uniswap V4 的创新性功能,重点阐述了 Hooks 的模块化特性,使开...

coincaso
340 11个月前

波场TRON行业周报:“就职典礼”利好出尽,TRX成WLFI战略储备之一

一.前瞻1. 宏观层面总结以及未来预测市场普遍预计,美联储将在1月30日的会议上决定维持当前的联邦...

coincaso
332 11个月前

来火币HTX过肥年:春节乐翻天,$60万红包抢不停,更多新春福利待领取

春节将至,火币HTX携手波场TRON生态推出“春节乐翻天,$60万红包抢不停”活动,用数字红包传递...

coincaso
319 11个月前