波场 TRON 行业周报:Bybit 被盗引发“黑天鹅”,全链 VM 协议引资本关注
1. 宏观层面总结以及未来预测
上周,美股市场波动较大。2月19日,美股三大指数小幅收涨,标普500指数续创历史新高;但2月21日,美股三大指数集体大幅下跌,其中纳指跌超2%。市场对一系列经济数据反应敏感,投资者对经济增长前景和货币政策走向保持谨慎乐观态度。未来一段时间内,投资者需要密切关注经济数据、政策动态和地缘政治因素的变化,以做出明智的投资决策。
2. 加密行业市场变动及预警
上周,比特币价格继续保持窄幅波动波动。有观点认为,比特币价格行情转复杂,交易难度升级,高位多头不再追入,等待回落或突破。例如,在2月21日,比特币价格接近趋势线,市场对其能否实现真正的行情反转保持关注。本周若继续无利好刺激点,加密市场可能面临进一步回调的风险。
3. 行业以及赛道热点
链接EVM&MoveVM的L1公链Mango Network获取AINFRA以及KUCOIN等知名机构的1350万美元投资;Polychain资本领投链接EVM,SVM以及WASM链的混合执行网络Fluent;Kaito 是一个由 ChatGPT 驱动的加密货币搜索引擎,旨在通过人工智能革新加密研究和投资,现已上线币安和Coinbase。
1.潜力赛道表现
1.1. 链接EVM&MoveVM的L1公链Mango Network凭何获取AINFRA以及KUCOIN等知名机构的1350万美元投资
简介
Mango Network 是一个 Layer 1 区块链平台,旨在通过结合 EVM 和 MoveVM 兼容性来解决 Web3 应用中的挑战。它旨在为开发者和用户提供一个安全、模块化和高性能的基础设施。
Mango旨在成为最易于访问的智能合约平台,赋能开发者在Web3中创造出色的用户体验。为了迎接下一个十亿用户,Mango为开发者提供了多种工具,使其能够充分利用Mango区块链的强大功能。Mango开发工具包(SDK)将使开发者能够在没有边界的环境下进行构建。
Mango通过水平扩展来满足应用程序的需求。随着Mango验证者处理能力的提升,通过增加工作节点,网络容量成比例增长,从而即使在网络流量高峰期,仍能保持低燃气费。这种可扩展性特性与其他区块链的瓶颈设计形成鲜明对比。
丰富的链上资产支持基于实用性的新型应用和经济模型,无需单纯依赖人工稀缺性。开发者可以实现动态NFT,可以根据应用需求进行升级、打包和分组,如根据游戏玩法的变化更新头像和可定制物品。此能力增强了游戏内经济,因为NFT的行为会完全反映在链上,使NFT更具价值并提供更具互动性的反馈循环。
Multi-VM Omni-Chain
Mango Network 结合了 OPStack 和 MoveVM,创建了一个完整的链上区块链网络,支持跨链通信,推动技术边界。
该网络采用两层架构,Mango Move 作为 L1 层确保安全性,OP-Mango 作为 L2 层提高交易速度并降低成本,从而实现高效的性能。
Mango Network 设计灵活,支持多虚拟机操作,为开发者和用户提供广泛的应用场景和优化的用户体验。
多虚拟机全链基础设施网络
Mango Network 集成了 MoveVM 和 EVM,创建了一个多层网络,支持跨链操作,使开发者能够利用两种虚拟机的优势,提供更广泛的服务和应用场景。

多虚拟机并行性与跨链技术集成
并行执行、跨链通信与 Layer 2 扩展的协同效应
MoveVM 和 EVM 跨链通信
Mango Network 使用 OP-Mango 第二层网络,通过 EVM 兼容性和 P2P 同步处理交易。排序器对交易进行排序,并通过断言同步以太坊状态。其跨链合约实现了 EVM 和 MoveVM 之间的互操作性和安全结算,优化了开发者体验。

点评
Mango模块化区块链可以像Layer 1一样具有主权,能够抵抗黑客攻击并具备可升级性。Mango模块化区块链可以应用于新区块链,简化组件卸载的过程,减少部署时间和成本。Mango公共链结合了零知识证明技术,允许在不透露信息本身的情况下披露信息知识。通过有效性证明,节点可以验证交易,减少确认时间,并提高网络吞吐量。MgoDNS是一种基于跨链协议的分布式域名解决方案,提供域名和域名数据分析服务。它帮助企业和个人用户更高效、安全、便捷地管理链上的有价值数据,并参与数字资产交易。
Mango客户端利用资源、分布式锁和排序等机制来提高系统性能,确保数据的一致性和并行性。它基于效率、安全性、可扩展性和准线性容量增加,实现多功能操作。
1.2. Polychain资本领投的链接EVM,SVM以及WASM链的混合执行网络Fluent特点解析
简介
Fluent 是首个混合执行网络——一个以太坊 L2 和框架,融合了 Wasm、EVM 和(即将支持的)SVM 基础的智能合约,形成一个统一的执行环境。
不同虚拟机目标的智能合约可以在 Fluent 上直接相互调用。Fluent 目前处于公开开发网阶段,支持由 Solidity、Vyper 和 Rust 合约组成的应用。
Fluent 的独特价值主张在于其能够:
Fluent 支持面向不同虚拟机的应用之间的原子组合性,以及由混合和匹配的智能合约组成的“混合”应用。网络支持的不同类型合约之间的交互在后台进行,既是原子的,又是实时发生的。
Fluent 如何支持混合执行?
在 Fluent 上,EVM、SVM 和 Wasm 的功能在执行层被“融合”在一起。这是通过 rWasm 实现的——一种低级中间表示(IR),它作为 Fluent 的虚拟机。rWasm 实际上是一个状态验证函数,负责表示 Fluent 执行层中的每一个操作。Fluent 模拟了 EVM、SVM 和 Wasm 的行为,这些行为被编译成 rWasm 进行执行。这样可以确保这些不同系统之间的兼容性和平稳交互,并且从 zk 证明的角度来看是最优的,因为最终只证明一个状态转换(与多虚拟机解决方案中需要证明多个状态转换不同)。Fluent 的混合设计也是可扩展的——未来可以通过专用的 AOT/JIT 编译器来表示更多的虚拟机。
混合执行vs多虚拟机
MultiVM 是一种替代虚拟机(altVM),在同一网络内使用多个独立的虚拟机。每个虚拟机独立运行,适用于不同的编程语言或执行环境。维护独立的虚拟机会带来复杂性,尤其是在状态同步和跨虚拟机交互方面。这可能导致开发者和用户体验的碎片化,因为不同环境之间的交互需要额外的协调。而混合执行(Blended Execution)相比 multiVM 提供了更为集成的方法。混合执行不是维护独立的虚拟机进行交互,而是将不同的虚拟机融合到一个统一的执行环境中。这允许多个虚拟机共享相同的状态,并在同一框架内无缝执行。从 zk 证明的角度来看,这也是最优的,因为最终只证明一个状态转换。实际上,主要的区别在于集成的程度。
什么是混合型应用?
这使得开发者能够使用最适合每个组件的语言和执行环境编写应用程序的不同部分,从而提高性能、灵活性和可用性。

点评
从目前掌握的资料看,Fluent L2将支持两种类型的应用:共享和专用。
1.3. 上线币安,Coinbase等头部CEX的Kaito是是何来头,crypto信息检索工具能否有所突破?
简介
Kaito 是一个由 ChatGPT 驱动的加密货币搜索引擎,旨在通过人工智能革新加密研究和投资。Kaito 利用内部人工智能技术,将加密领域中数以TB计的非结构化信息进行组织和整理,使投资者、研究人员、开发者和公众都能够轻松访问这些信息。
三大产品
这是一个终极的人工智能驱动的 Web3 信息平台,旨在将数以TB计的非结构化信息转化为可操作的观点 。
在数秒内,通过数千个高质量 Web3 来源,搜索任何代币、话题或趋势,获取即时观点。
通过Kaito的 AI 驱动分析,深入了解影响情绪大幅变化的因素,并轻松解读复杂的情绪数据,获取有价值的洞察。
Kaito 的 API 使您能够系统地访问我们独有的内部数据集,帮助您在 Web3 中做出更明智的决策。
Kaito的 API 服务面向基金、项目团队、研究机构、交易所等,为您提供实时访问最优质、最全面的知识数据集,以及跨越我们独有数据库的可量化社交指标。
一个独特的“影响力网红”排行榜以及他们之间的关联网络,不同于其他追踪网红发布咨询的平台,Kaito的这个Yaps产品能够在该类平台普遍功能的基础上,增加了某一项推文能够从发起者到@的全部人员过程的清晰路径,让用户能够还原一篇造成影响的推文的起始,过程以及结尾。
该功能算是业内首创,为行业内用户精准捕捉不同网红对一件事或市场的观点。

点评
Kaito 是一款下一代 Web3 信息平台,索引了通过传统搜索引擎难以访问的广泛 Web3 内容。这些内容包括社交媒体、治理论坛、研究报告、新闻、播客、会议记录等。通过利用先进的 AI 技术,Kaito 重新定义了用户发现和互动区块链相关信息的方式。
团队致力于革新 Web3 信息访问方式。索引了数千个高质量的 Web3 来源,将数以TB计的非结构化信息转化为可搜索和可操作的观点,从而帮助做出更加明智的决策。
2. 当周关注项目详解
2.1. Nvidia加持,详解Solana以及Web3门户协议Mask跟投的AI Gaming项目GamerBoom
简介
GamerBoom 是一个激励层和数据挖掘协议,基于主流 Web2 游戏,采用 AI 驱动的数据标注系统。它旨在通过赋能玩家控制他们的数字生活,来彻底改变游戏文化和经济。
Gaming Portal(GamerBoom 应用)是一个覆盖在 Web2 游戏之上的应用,作为生态系统中玩家的零门槛入口,连接 Web2 游戏玩家与 Web3 宇宙。其目标是在保持 Web2 游戏沉浸式体验的同时,顺利融入 Web3 激励机制。凭借创新的游戏化设计,Gaming App 致力于提升玩家的参与度,并鼓励他们积极参与生态系统的各项活动。
技术解析
GamerBoom团队致力于打造的不仅仅是一个游戏平台;团队正在建立一个开放的游戏生态系统,让玩家能够茁壮成长、创新,并引领数字游戏新时代的到来。加入团队,共同铺设一条未来的道路,在这里,游戏和区块链技术紧密相连,创造一个每个玩家都可以投资自己数字生活的世界。
GamerBoom的架构精心设计,包含三个核心层级:

数据挖掘层
这一基础层是一个游戏化激励层,构建在Web2游戏之上,旨在进行数据挖掘。它提供实时跟踪、反应和对游戏内玩家行为的评分。系统实现了一个AI标签系统,用于处理游戏内的动作、决策模式和参与度。
未来计划包括激励用户分享与游戏相关的社交数据,从而丰富游戏数据的维度。
游戏数据层
在这一层,玩家共享的处理后数据被提供给调优节点,用于AI代理的训练。所有AI代理会根据绑定曲线自动生成一个独特的绑定池。分享人从分享市场中挑选高质量的AI代理,并通过向其绑定池中添加流动性来推荐它们。AI代理产生的部分收入会自动与分享人共享。专业分享人还可以利用玩家数据和AI代理来开发更加符合商业需求的应用和用例,从而提升盈利能力。
应用层
应用层是游戏数据层的衍生层,适应于各种使用场景,包括即将推出的PVP交易所。它利用多维度的真实游戏数据,服务于诸如建议游戏开发者、训练游戏AI、根据游戏行为制定应用或修改游戏等多种目的,此外还有其他潜在的应用场景。
在GamerBoom的技术方案中,旨在利用轻量级本地模型与基于云的GPT(生成预训练变换器)模型的结合,以促进游戏环境中高效且准确的图像识别任务。此混合方法使GamerBoom能够在速度、成本和复杂性之间取得平衡,确保最佳性能,同时有效管理资源利用。

AI系统架构
本地模型架构
我们的本地模型架构由一组轻量级模型组成,这些模型直接部署在客户端的游戏应用中。这些模型设计用于执行快速且简单的图像识别任务,提供快速响应,而不会造成显著的计算负担。
混合模型集成
我们的混合模型集成策略结合了本地模型的优势与GPT在处理复杂图像识别任务中的强大能力。该方法涉及客户端本地模型与基于云的GPT模型之间的无缝通信,确保全面覆盖和准确性。集成过程包括以下步骤:
我们的混合技术方案提供了多个优势和需要注意的事项:
优势 :

代理创造者
代理创造者利用处理后的游戏数据来训练AI代理,服务于不同的应用和目的,而不仅仅是直接交易和货币化游戏数据。
一旦训练完成,这些AI代理会直接为企业和个人用户提供服务。这些服务包括但不限于API数据流模式或聊天对话模式。代理创造者相互挑战并竞争,以提高AI代理的性能和服务。
游戏中的预测分析 :通过利用机器学习算法,AI代理可以预测玩家的行为和偏好,促进针对性营销策略和内容开发。这一预测能力使得游戏开发者能够预测趋势并实时调整产品,最大化收入潜力。
游戏玩家的虚拟伙伴 :AI代理可以作为游戏玩家的虚拟助手,提供实时指导、提示和策略,量身定制以适应个人的游戏风格和技能水平。无论是协助解谜还是在多人对战中提供战术建议,AI助手都能增强游戏体验。
反作弊机制 :AI代理在检测和防止游戏作弊行为方面发挥着至关重要的作用。通过分析游戏模式并识别异常,这些代理帮助维护公平竞争,保持在线游戏环境的诚信。
内容监管与安全 :具备自然语言处理能力的AI代理可以监控游戏内通信,检测不当或有害内容。通过执行社区准则并过滤有毒行为,这些代理有助于营造更安全、更包容的游戏环境。
增强的人机协作 :随着AI技术的不断进步,AI代理将变得更加擅长与人类用户协作。通过自然语言接口和直观的互动,这些代理将无缝集成到日常任务中,增强人类的能力和生产力。
道德与负责任的AI :随着AI代理的自主性和影响力的增强,它们必须遵循道德原则和指南,以确保负责任的行为。未来的发展将聚焦于实现透明和可问责的AI系统,优先考虑用户隐私、公平性和社会福祉。
AI算法的持续创新 :AI代理的进化依赖于机器学习算法的不断进步,包括深度学习、强化学习和进化计算。通过推动AI研究的边界,开发人员可以解锁新的能力,拓展AI代理的潜在应用。
总之,AI代理即服务(AIaaS)代表了一个突破性的方式,利用人工智能的力量不仅限于游戏领域,还扩展至其他行业。凭借其多样的应用和无限的创新潜力,AIaaS预示着一个未来,其中智能代理将在塑造我们的数字体验和改造各行各业中发挥核心作用。
对于每个AI代理,将创建一个基于绑定曲线的绑定池,用于流动性驱动的策展和推广。策展者可以为更好的推广添加流动性($BOOM),并通过持有分享代币来赚取利润份额。
在整个网络中,所有AI代理将根据其流动性排名进行优先级排序和推荐。
绑定池的流动性参与者(BLP代币持有者)还充当基于流动性的零售策展者,实质性地放大了他们所关联资产的影响力。专业策展者还通过基于AI代理和玩家数据构建用例和应用获利。
这一额外的流动性层使得无形资产(数据集)能够创建独特的绑定池,通过货币化和标记化其影响力和内在价值,赚取交易费用分成和网络激励。
我们创新的动态绑定曲线提供了一种开放、透明和高效的链上数据策展机制,自动分配收益给数据矿工、调优节点、数据策展者和数据消费者。这种方法使得市场更加高效和透明,代币的价格由网络参与者的集体行为决定。
初始绑定曲线
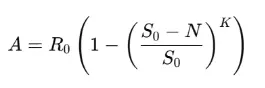
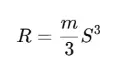
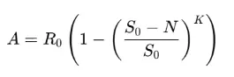
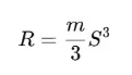
在GamerBoom生态系统中,我们将储备比率K的初始值设置为1/3,而m的值在为特定资产创建绑定池时确定。通过这些设置,我们可以推导出BLP代币(绑定池的分享代币)在资产绑定池中铸造或销毁的价格函数,如下所示:
动态绑定曲线
GamerBoom采用动态绑定曲线来协调数据矿工、数据策展者和数据消费者之间的利益。如果数据集在整个生态系统中产生收入,部分收益将自动添加到绑定池的储备中。
假设储备从 R0增加到 R0+ΔR,储备比率K将从 K0增加到 K0+ΔK,则:

如果用户出售总量为 N的BLP代币,使得总供应量从 S0 减少到 S0−N,则支付的母货币A的总额为:

根据以上公式,我们得到:

当储备在绑定曲线的某个位置添加时,储备比率K将增加(始终不超过1)。对于已经持有N个NLP代币的用户来说,这意味着他们将比在储备添加之前出售更多的储备代币。
总结
GamerBoom的优势包括通过采用Steam、Epic Games和Wegame等常用启动器的UI/UX设计,我们允许用户保持他们的习惯,而无需适应新的工作流程。通过人工智能驱动的数据标记系统,通过有趣和有益的覆盖层来增强流行的Web2游戏,顺利地聚合游戏数据。引入绑定曲线,为全球数十亿玩家构建可持续的、分散的AI代理驱动的游戏经济。
面临的挑战包括需要平衡本地计算资源与云端处理需求需要精心的资源管理,以避免性能下降或成本过高。优化本地模型与GPT之间的集成,最小化延迟并确保准确结果,对于保持游戏体验的实时性至关重要。处理敏感的游戏数据(如屏幕捕获)时,需要采取强有力的隐私与安全措施,以保护用户信息并防止未经授权的访问或滥用。定期维护和更新本地模型与云端模型是必需的,以确保其与不断发展的游戏环境和技术进步保持一致。
1. 市场整体表现
1.1 现货BTCÐ ETF


1.2. 现货BTC vs ETH 价格走势
BTC

解析
上周BTC如预期反弹受阻于10万美元阻力区间的底部位置,本周价格走势大概率继续向上测试98000美元附近一线阻力,但若无明显成交量放大形态,则向下测试95000美元的可能性无限升高,跌破94000美元或可直接关注90000美元底部支撑大关,若企稳于94000美元区域或继续围绕94000~98000美元区间盘整,提醒用户少动多看,现货继续持有,减少开合约的交易模式。
ETH

解析
ETH上周继续沿斐波那契回调线的2600~2900美元区域震荡,因此走势较容易判断,但凡反弹至2900美元附近出现滞涨形态,那么意味着小级别反弹结束,下行继续,支撑可继续关注2600美元附近,可以大概率确定的是,基本面若无太大波动,那么本周继续在上述区间震荡的概率偏高,跌破2520美元之前,不宜长期看空。
1.3. 恐慌&贪婪指数

在2025年2月17日至2月23日期间,加密货币恐惧与贪婪指数从47下降至38,显示市场情绪从中性转为恐惧。 这表明投资者在此期间变得更加谨慎。 可能导致这一变化的因素包括:
2.公链数据
2.1. BTC Layer 2 Summary

解析
在2025年2月17日至2月23日期间,比特币第二层解决方案(Layer 2)领域出现了多项重要进展,彰显了对提升比特币可扩展性和效率的日益关注。
主要进展:
这些进展反映了通过第二层解决方案提升比特币可扩展性和效率的日益关注,在此期间,相关讨论和技术进步备受关注。
2.2. EVM &non-EVM Layer 1 Summary

解析
在2025年2月17日至2月23日期间,EVM兼容和非EVM Layer 1区块链领域发生了多项重要进展:
EVM兼容Layer 1区块链:
非EVM Layer 1区块链:
2.3. EVM Layer 2 Summary

解析
在2025年2月17日至2月23日期间,以太坊虚拟机(EVM)第二层生态系统发生了多项重要进展:
2025年2月7日,Berachain主网在Bitget钱包上线,用户可通过BERA空投获得额外奖励。
2025年1月22日,Ramp Network宣布,用户现在可以通过MetaMask直接从以太坊Layer-2网络出售加密货币。
2025年1月,Solana Optimistic Network(SOON)通过NFT销售,为其基于Solana虚拟机(SVM)的以太坊Layer-2网络筹集了2,200万美元。
密歇根大学公布的消费者信心指数从1月的71.7大幅下降至2月的64.7,创下2024年8月以来的最低水平。消费者对未来经济状况的信心明显减弱。
上周发布的美联储最新会议纪要显示,官员们认为通胀率仍略高于目标,经济前景存在不确定性,但就业和通胀目标的风险大致平衡。市场普遍关注本周即将公布的核心PCE数据,以进一步判断美联储的货币政策方向。
本周(2月24日-2月28日)重要宏观数据节点包括:
2月26日:美国至2月21日当周EIA原油库存
2月27日:美国至2月22日当周初请失业金人数
2月28日:美国1月核心PCE物价指数年率
周内加密行业大事件不断,包括阿根廷总统米莱试图澄清与LIBRA的关系、Bybit被黑客盗走约15亿美元加密货币等等,都显示出了加密行业与监管部门探索适当监管方式的迫切性与必要性。在美国放松监管高压后,香港适时推出了监管路线图,意图十分明显,即建立一个友好的加密中心,但后续如何推进还尚待观察。
美国
美国证券交易委员会(SEC)宣布成立网络和新兴技术部门 CETU,以保护散户投资者。Laura D'Allaird 被任命为新部门的负责人,CETU 取代加密资产和网络部门,由来自多个 SEC 办公室的大约 30 名欺诈专家和律师组成。这个新部门将补充由 Hester Peirce 专员领导的加密工作组的工作。重要的是,新部门还将允许 SEC 明智地部署执法资源。CETU 将负责打击涉及区块链技术和加密资产的欺诈,与网络安全相关的公共发行人欺诈性披露等不当行为。
尼日利亚
据路透社报道,法庭文件显示,尼日利亚已提起诉讼,要求强制币安支付 795 亿美元,以弥补其在该国的业务所造成的经济损失,并补缴 20 亿美元税款。此前,币安曾表示其正在与尼日利亚联邦内陆税收局合作,以解决潜在的历史税负问题。
印度
据 CoinDesk 报道,印度执法局(ED)透露,印度在 BitConnect 欺诈案件调查中查封了约 1.9 亿美元的加密货币、现金和一辆雷克萨斯汽车。BitConnect 创始人 Satish Kumbhani 自 2023 年起在印度和美国均被通缉。
中国香港
2 月 19 日,香港证监会(SFC)发布了新的虚拟资产监管路线图,即「A-S-P-I-Re」路线图,旨在加强香港虚拟资产市场的安全性、创新和增长。该路线图有五大支柱,分别为:准入(Access)、保障(Safeguards)、产品(Products)、基础设施(Infrastructure)和关系(Relationships)。
郑重声明:本文版权归原作者所有,转载文章仅为传播信息之目的,不构成任何投资建议,如有侵权行为,请第一时间联络我们修改或删除,多谢。
早报 | Lighter 24 小时交易量突破 110 亿美元;Circle Q3 财报公布;Strategy 美股市值跌破其 BTC 持仓价值
整理:ChainCatcher 重要资讯: 币安将停止币安直播平台服务,币安广场将继续提供直播服务...
24H热门币种与要闻 | Sui将推出原生稳定币USDsui;美SEC拟推出基于Howey测试的代币分类法(11月13日)
1、CEX 热门币种 CEX 成交额 Top 10 及 24 小时涨跌幅: BNB -0.78%...
piaolanlan458
文章数量
2939粉丝数
0