加密治理的第一性原则

原文:https://dirtroads.substack.com/p/-43-first-principles-of-crypto-governance
我家的狗Leo,讨厌兽医,一看到路标指向兽医执业的小镇,就狂吠。他讨厌兽医,因为兽医意味着针头和打针。显然,他无法理解为什么针的疼痛实际上可以保护它免受更严重、更痛苦的疾病的侵袭。打针意味着疼痛,疼痛是不好的。然而,他走进推拉门,耳朵朝下,一双湿润的眼睛似乎在要求我父亲:“我知道我们彼此相爱,你为什么要这样对我?”这就是重点:在他所生活的人类难以理解的世界中,Leo 选择相信这样的启发式方法,即由于他的家人似乎总是为他的利益行事,任何请求(甚至是痛苦的请求)都可能是其中的一部分这种充满爱心和关怀的相互协议。狗和人类几千年来一直是朋友,在绝大多数情况下,启发式方法被证明是有用的,因此它得以延续。
在加密去中心化组织的创始人-主人-控制者和社区成员之间普遍存在的仁慈启发式(Heuristic of Benevolence)可能有着类似的起源。你们让我或其他人赚了很多钱,因此我永远不应该怀疑你的纯粹意图。可能是同样的原因,同样的仁义启发式变成了对任何最初没有参与社区建设的人(外来者)的怀疑启发式。
启发式的问题在于它们很容易被欺骗。
哦,治理,亲爱的最小化者
上周的 Dirt Roads 讨论了 MakerDAO 最近的治理周期。最后包括三个开放性问题:
基于现有的治理机制和代币分配,我们是否相信 Maker 的审查阻力?
当一群(可以说)一致的各方拥有足够的投票权来超过如此多的机构参与者时,我们是否相信 Maker 是一个真正去中心化的组织?
我们是否认为 Maker 的结构可以有效地处理带来最低程度的复杂性和不透明性的用例(和借款人)?
这三个问题可以总结为一个问题:我们认为加密协议的主导治理框架是否可以(在本地)在处理复杂任务的同时激励善意的行为?我的直觉是,这些问题的答案只是“不”。
对于 Maker,与许多其他加密项目一样,治理任务统一分配给治理代币 $MKR 的持有者。但更普遍的是,$MKR 的持有者可以对协议的更改进行投票——任何人都可以提交提案。提案将按照以下简化的流程进行投票。
争论最有效的角色分配或替代角色机制超出了这篇文章的精神。我们感兴趣的是Maker 治理框架的架构师认识到恶意治理攻击的风险,为了反对它,他们包括了一个治理安全模型,该模型具有延迟特定提案执行的功能——允许 $MKR 持有者收集足够的共识来呼吁紧急关闭,然后有序地解除协议本身。
由 Aragon 和 Optimism 开创的乐观治理学派通过假设所有提案都经过投票来引导这一概念,除非在一定时间内在法庭上受到质疑。这些努力值得称赞,在每个决定的结果是显而易见的、事前可衡量的或立即产生影响的环境中仍然有效。随着 DAO 的雄心壮志超越僵化和明确界定的界限,并朝着通过复杂结构增加现实世界信用等复杂任务,很明显,即使是乐观的挑战窗口也不足以抵御恶意攻击。
不可还原性问题 → 最初,大多数链上治理不得不面对非常简单的决定:是否将 ERC-20 代币列入白名单、增加或减少参数、激活或停用预言机提要。治理机制不断发展以满足这一需求,而区块链技术允许更精细地分离任务。但雄心是人类的特征,协议逐渐扩展到复杂神经节的用例,而不是有序的原子决策集合:我们是否应该开始为现实世界的信贷融资,我们的资金管理策略应该有多活跃,我们应该如何应对我们的流动质押服务对原生链稳定性的影响,我们在复杂的 DeFi 堆栈中的作用等。扩展产生了一个工程师可能还无法完全掌握的不可还原性问题。在对每个可能的案例进行建模以进行决策时,在结构上不可能继续扩展。我们需要学会与无数极端情况共存,这些极端情况会产生任何无法预料的影响。不可还原性的影响可能是灾难性的。
两种可能的解决方案 → 可用的解决方案有两个方向:(i)使治理机制更适合处理无法衡量的不确定性和利益冲突,以及(ii)通过任务和责任的原子化来减少不确定性。尽管从长远来看,第二个(分解、简化、僵化)是我们应该追求的目标,但不确定性不能从根本上消除,因此开发一个更具不确定性的决策框架是我们无法逃避的。
这篇文章的其余部分将致力于问题的初步形式化。当事情变得复杂时,我相信开发一个简化版本的现实是有价值的。我们的想法是使用这样的框架来了解发挥作用的关键力量,并尝试设计在激励良性影响的同时减轻恶性影响的机制。
乐观治理博弈
我决定设计游戏。让我澄清一下:由约翰·冯·诺伊曼和奥斯卡·摩根斯坦开创的博弈论和经济行为理论,将数学严谨性作为现代经济学的基础,被加密货币兄弟滥用和误用太久了,我无意加入其中。这些游戏将不是博弈论,而是奇闻趣事数学。像奇闻趣事新闻一样,编写下面描述的一组方程式的目的是提供正在发生的事情的氛围,而不是提供提炼解决方案所需的象征性工具。然而,在协议治理的背景下将人际互动正式化是一项雄心勃勃的任务,我希望这将激发比我拥有更多技能和时间的其他人的兴趣。
我首先构建了一个乐观治理游戏(OGG)。在 OGG 中,所有参与协议治理的人都是好人,并打算将协议本身产生的经济价值最大化——这是一个重要的规范。在这个简化的游戏配置中,我们假设参与者/选民从外部收到一个提案,并且有能力基于任意治理机制(即投票功能)通过或投票。

提案i的投票函数V以N个参与者所有投票的向量作为输入。在OGG中,我们可以假设每个参与者都有一票。投票函数的输出为0 (ding)或1 (pass)
只有两种类型的提案:善意的提案和恶意的提案。 善意的提案对所有选民都有积极的影响——因此对协议也有积极影响,而恶意的提案给支持者(位于选民群体之外)带来了巨大的利益,但代价是协议有可能被破坏。
被破坏的预期成本取决于分配的概率函数和每个投票者给协议的值 V。 为简单起见,我们可以假设所有善意的提案都有相同的回报,并且所有选民都为协议分配了相同的价值——并且这个价值远远高于单个通过提案的潜在价值。 由于所有选民都有相似的偏好,并且是治理集之外的支持者,我们可以从协议的角度概括上述功能。

不出所料,我们不能提前说一个提议是善意的还是恶意的。我们需要用概率来思考。我们可以重写一个一般化提议的期望收益函数,如下所示:

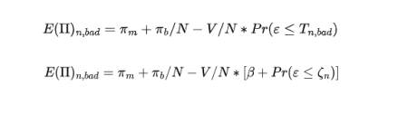
我们也知道,恶意提案的不良影响只会在不确定的时间延迟之后变得明显——而且只是间接地,即通过观察协议的存续情况。 换句话说,如果在 OGG 结束时——即到时间 T,协议仍然完好无损,我们最好的猜测是治理没有通过恶意提案,我们赢得了 OGG。
最后,该协议,即所有投票者的总和,当面临投票赞成或反对广义的第一个提案时,旨在最大化下面的期望值函数。 这个目标是 OGG 的一个假设,因为理论上选民可能被赋予非常不同的目标函数。

被破坏的概率等于在OGG结束前出现恶性结果的概率

鉴于 OGG 的结构非常简单,大多数结果都是微不足道的。 然而,它们值得反思:
- 支持者有动力去做大→由于协议被破坏事件是核问题,支持者被激励向选民提出也提供高直接利益的提案
- 看起来不错的主要动机→更高的(可感知的)仁慈密度简化了选民的决策
- 流动性不足有溢价 → 延迟的提案,或者结果延迟的更好的提案,更容易被决策过程消化
- 价值最大化并不是生存最大化→期望值最大化的策略可能会导致与协议生存最大化的一个非常不同的最优决策集
现实的治理游戏
如果我们为游戏增添一点趣味,事情会变得更有趣。现实,尤其是 DAO 现实,比我们的 OGG 复杂得多。为了我们的讨论,我想重点关注几个关键差异:
- 选民也可以是支持者 → 选民和支持者之间存在部分重叠,无论是善意的还是恶意的提案——因此,我们将使用参与者一词,包括选民和支持者
- 恶意提案对其支持者非常有利 → 恶意提案的私人(非共同)利益可能会大大超过协议被破坏对其支持者的私人影响
- 私人和协议的视角不同 → 由于多样化和时间范围不匹配,单个选民/支持者的私人回报函数与协议范围的回报函数显着不同
在现实治理游戏(RGG)中,我们可以重写如下的目标函数,现在区分了好的和坏的支持者。我们假设无论是提议还是投票都没有任何成本。
好的参与者 → 一个有道德的支持者的目标函数与广义的 OGG 案例非常相似。

然而,正如我们已经暗示的那样,我们现在已经列出了每个单个参与者 n 的预期收益,因为:(i) RGG 中单个参与者的时间范围很可能与协议的时间范围不同——即单个参与者 可能仍会出售他的投票权和离开权,(ii) 鉴于损害分摊和投资组合多样化,RGG 单个参与者的损害很可能不是核损害。 这些差异会增加优秀参与者的风险承受能力; 参与者有动力去“碰碰运气”的提议,这些提议对于议定书来说具有不可忽视的核心机会。
坏参与者 → 然而,坏参与者会发生什么更有趣。 不良参与者是有意识地提出恶意提案,享有该提案的私人利益,并有意识地投赞成票的人。

不良行为者偏离的动机要高得多:(i)只有潜在的损失(而不是非凡的收益)会相互抵消,(ii)由于恶性结果的可见性更好,损失可以更容易地避免。不良参与者有巨大的动机提出恶意提案并游说好参与者以最大程度地减少对苛刻协议损害的看法。换句话说,对于每个人来说,都有很大的动机去偏离和变成坏参与者。
在这个简化的表示中,偏离的动机与以下因素正相关:
- 可征用性→私人偏差收益的相对大小
- 相互化 → 社区规模,或参与者总数
- 不确定性→感知到遇到不良建议的风险
- 紧迫性 → 恶意影响出现的概率
- 风险厌恶→令人惊讶的是,风险厌恶激励变成了坏人
然而,系统并不是一成不变的。这意味着更多的恶意行为者将被大型和不确定的社区所吸引,他们的动机如此之高,以至于他们准备投入大量资源来渡过难关。 这会给没有正确制衡的社区造成死亡螺旋。
接下来是什么
OGG 和 RGG 都是极其简化的奇闻趣事数学游戏。尽管如此,它们仍然是一个良好的开端,并且可以迫使我们在设计我们的协调机制时照照镜子并超越修辞的个性化。
包括 Maker 在内的一些协议仍然忠于“无结构的暴政” - h/t @Dermot_Oryordan,这是对纯粹主义方法的辩护,在这种方法中,利益中心(代币持有者、借款人、$DAI持有者、核心单位成员、代表、少数族裔、协议)的正规化为了去中心化的利益而遭到抵制。但是,正如乔·弗里曼在她的不朽文章中所说:
“与我们想相信的相反,不存在无结构的群体。任何性质的任何一群人,为了任何目的聚在一起,无论时间长短,都将不可避免地以某种方式构建自己。 […]
这意味着争取一个无结构的群体与瞄准一个“客观的”新故事、“无价值”的社会科学或“自由”经济一样有用,也具有欺骗性。 […] 这个想法成为强者或幸运者的烟幕,以建立对他人的无可置疑的霸权。”
这是否是故意的无关紧要。但是使用我们的简化模型,同质的选民/支持者团体意味着增加不确定性、相互化和潜在的可征用性。对我来说,Maker 的治理设计是一个糟糕的设计,因为它鼓励了逆向选择(借款人之间)和不良行为者的逍遥法外。
然而,加密货币治理也有很好的例子。 6 月 10 日,@skozin 在 Lido 的论坛上发布了一项提议,为流动性 Staking 协议建立 LDO+stETH 双重治理机制。在认识到存在选民($LDO 持有者)不是那些遭受破坏的人(主要是利益相关者)的代理问题后,支持者提出了一系列与我们在 RGG 中概述的框架一致的想法:
- 通过僵化缩小治理范围→减少不确定性
- 延迟执行投票提案→减少紧迫性
- 为 $stETH 引入否决/反否决系统 → 减少相互化
- 实施(部分)恶意资源销毁→减少可征用性
该提案明确承认不可能事前识别所有潜在的攻击媒介或边缘情况,并转而采用基于第一原则的方法,该方法在承认存在利益冲突的同时,激发了对抗性(且代价高昂)的治理辩论.我会敦促参与设计治理原则的任何人彻底通过该提案。这是一个值得象征性表示的东西。
双重治理体系并不是唯一可行的途径。需要更深入分析的值得一提的是 Pocket Network 的权益工作机制、DXDdao 的基于声誉的投票、声誉和参与衰减机制,以及显然是以太坊的 EIP-5114 灵魂绑定。不确定性密集环境的治理机制的研究和设计空间是广阔而迷人的。我们真的无法在人类交互的脆弱基础层之上构建任何复杂的东西。
选择现成解决方案的极端主义对政客来说是好事。但我们不是政客,我们要留在这里,我们的目标不是在船烧毁之前跳船。除了低头,我们别无选择;学习、研究、测试、迭代和梦想。
郑重声明:本文版权归原作者所有,转载文章仅为传播信息之目的,不构成任何投资建议,如有侵权行为,请第一时间联络我们修改或删除,多谢。
早报 | Lighter 24 小时交易量突破 110 亿美元;Circle Q3 财报公布;Strategy 美股市值跌破其 BTC 持仓价值
整理:ChainCatcher 重要资讯: 币安将停止币安直播平台服务,币安广场将继续提供直播服务...
24H热门币种与要闻 | Sui将推出原生稳定币USDsui;美SEC拟推出基于Howey测试的代币分类法(11月13日)
1、CEX 热门币种 CEX 成交额 Top 10 及 24 小时涨跌幅: BNB -0.78%...
coincaso
文章数量
3530粉丝数
0