一文看懂Uniswap V3的VooDoo魔法
一文看懂Uniswap V3的VooDoo魔法
嗨,大家好啊,我们回来啦!希望在我们悄悄建设的这段时间里,您在DeFi方面取得了比较好的收益。
我们努力研究智能合约代码和审计,以及新的数学模型和策略。随着我们越来越接近发布(发布计划的消息也即将公布),我们正在为社区提供新的研究材料。
今天,我们想深入Uniswap V3的最深处,看看我们是否可以使用一些魔法从中提取一些隐藏的价值。
WETH/USDC池50% APY?这可能吗?
我们想邀请您参加我们的理论之旅,该旅程从200天前开始,跨越了几幕。我们会回到过去,看看我们可以从过去学到什么,以及我们如何改变未来。你准备好了吗?那就让我们从最初的Uniswap V3时代开始我们的20分钟冒险。
第一幕——谜题(很久很久以前……)
2021年初,Uniswap V3向AMM引入了集中流动性的概念。与其在(0, ∞)的整个价格范围内提供流动性(就像UniV2 LP提供者所做的那样),流动性提供者现在可以将他们的代币放入他们想要的任何价格范围内。而且由于任何价格范围都小于(0, ∞),他们可以从中赚取更多费用。听起来很酷,对吧?好吧,显然并不是每个人都对此感到满意:
https://twitter.com/kaiynne/status/1479335005700562951?s=20&t=kTXr-XaAysZo5E9JBDfYbg
Uniswap Labs是第一个为其LP提供强大的流动性优化工具的 AMM(他们是真正的创新者和大智慧!)。但是突然之间,Uniswap V3的资本管理变得具有挑战性。任何流动性提供者都需要为流动性提供选择最佳价格范围。无常损失、价格风险、内存池……所有这些讨厌的细节开始变得重要。
专业做市商似乎可以处理它,甚至可以使用JIT等技术提取更多价值。但是那些只想买入并忘记它的人呢?
一种方法是将流动性置于(0, ∞)范围内并忘记它。哇,这是一种解脱!但这不会失去一些宝贵的APY百分比吗?我们能做得更好一点吗?
等等……Hayden先生不就是在说这个吗???
https://twitter.com/haydenzadams/status/1419715588323217412?s=20&t=CsLZJz_TuFPpymn9P4FD2w
谜题的答案很简单:
https://twitter.com/haydenzadams/status/1419773681824325637?s=20&t=5oVc2OZgx-CEH5OSgNKPYw
以下是它的详细工作原理:
1. 将 UniV2价格曲线分成相等的虚拟价格范围
2. 将一部分流动性放入当前覆盖当前价格的范围内
3. 将所有其他代币放入Convex、Ribbon和Yearn等收益协议中,并获得额外收益
4. 当价格从一个范围转到另一个范围时,从前者中提取流动性并将其投入后者
现在我们已经了解了Hayden战略的精髓,让我们看看它是如何运作的。
灯光,相机,行动!

太好了……只需少量资金,我们就可以完全复制UniV2仓位,但可以从您仓位中的所有其他资本中获得额外收益。这似乎是一场巨大的胜利,但我们还能做得更好吗?
第二幕——VooDoo魔术表演(现在)
好的,所以我们可以在上一幕中击败UniV2。但是我们能用UniV3打败UniV3本身吗?答案是肯定的!
不出所料,对于任何 UniV3 价格范围,我们都可以:
1. 将UniV3价格范围分成相等的虚拟价格范围
2. 将一部分流动性放入当前覆盖当前价格的范围内
3. 将所有其他代币放入Compound、Aave和Yearn等收益协议中,并获得额外收益
4. 当价格从一个范围转到另一个范围时,从前者中提取流动性并将其投入后者
在这里,我们再次使用全能的VMF策略:

这就是正确的咒语:

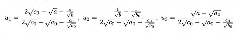
假设我们使用1个单位的财富在[a0, b0]区间为Uni V3提供流动性。那么集中的UniV3策略将是:
其中u_1是提供给UniV3的流动性的一部分,u_2, u_3是提供给生成单代币策略的流动性的一部分,[a,b]是[a0,b0]的子集,例如 a0
UniV3打败UniV3,听起来很酷,对吧?
但在我们以起立鼓掌结束这一幕之前,我们需要在这里解决一个小细节。如果你仔细阅读,可能会有一件事潜伏在你的脑海中,让你感到不舒服——策略的第4步。
“ 当价格从一个范围变为另一个范围时,从前者中提取流动性并投入后者。”好吧,我们不能在链上的UniV3价格变化上触发它,对吧?这必须通过外部调用者(也许是守卫者)来完成,这可能会错过再平衡事件,并且价格可能会远离具有流动性的价格范围。在这种情况下,该策略与UniV3不完全一样。假设我们在5月21日ETH从x跌至y时价格暴跌了40%。我们可以想象会有这样一条Twitter:

总而言之,我们有一个这样的VMF策略:
1. 赚取与UniV3仓位相同的费用
2. 通过在Compound、Aave、Yearn等收益协议中添加自由流动性来获得额外收益。
3. 当价格疯狂时,无常损失受到保护
第三幕——金钱(不远的未来)
好的,说了那么多数学和公式!让我们来谈谈房间里的大象,一个统治这个世界的小问题,一个推动所有成功的小问题——它对我有什么好处?
事实证明,这种策略的APY在USDC-WETH对上可以达到惊人的58%,在WBTC-WETH 对上达到18%:


在这里,双代币策略的APY是通过0xAlexEuler的方法计算的,这对于加密投资者来说看起来更有效(计算两个代币之一的APY可以获得更高的APY,但易于操作——在Twitter中阅读更多内容。
现在想象一下我们接下来可以做什么?一种优于普通UniV3投资的VMF策略。建立一个自动执行此策略的保险库,所以对于流动性提供者来说只是一劳永逸?肯定的事。但还有更多……
事实上,任何基于UniV3的主动管理策略都可以构建在VMF策略之上,并具有……更高的收益和……更低的无常损失!
我们想让这部戏有一个开放式结局。我知道每个人都讨厌开放式结局。但!它们留下了更多的想象空间,这在现在已经很少见了。
金色财经 > 区块链 > 一文看懂Uniswap V3的VooDoo魔法
郑重声明:本文版权归原作者所有,转载文章仅为传播信息之目的,不构成任何投资建议,如有侵权行为,请第一时间联络我们修改或删除,多谢。
早报 | Lighter 24 小时交易量突破 110 亿美元;Circle Q3 财报公布;Strategy 美股市值跌破其 BTC 持仓价值
整理:ChainCatcher 重要资讯: 币安将停止币安直播平台服务,币安广场将继续提供直播服务...
24H热门币种与要闻 | Sui将推出原生稳定币USDsui;美SEC拟推出基于Howey测试的代币分类法(11月13日)
1、CEX 热门币种 CEX 成交额 Top 10 及 24 小时涨跌幅: BNB -0.78%...
Odaily星球日报
文章数量
200粉丝数
0