DeFi 去风险:分析去中心化系统中的系统性风险

2022-06-08 12:06:26

从来没有避免金融灾难的万能方法。

在不可预测的社会中,系统性风险被只能部分处理。经济条件、技术和人类行为都会随着时间而变化,因此应对系统性风险的方法也必须保持可变。这种发展不一定会带来更有效和更稳定的状态,因为它会不断受到创新、监管行动、金融市场参与者不断变化的心理模式和行为的影响。在传统金融和去中心化金融中都是如此。

我们将系统性风险定义为:相互关联的代理网络中的风险,其中一个或多个代理造成的痛苦可传播给网络中的其他几个代理,从而产生广泛的危机。系统性风险传统上与制度失灵有关。其中,违约可能导致资本成本的催化性增加,银行挤兑就是一个例子,这会使得银行被迫破产。由于银行经常相互借贷,违约行为可能会引发多米诺骨牌效应。

一般来说,有3种情况被认为是系统性风险。

  • 信息传染——储户对危机可能性的预期导致银行挤兑。

  • 直接传染——通过银行间层面和系统产生的债务/信用关系等金融联系,或公司间信用链等其他风险敞口传播。

  • 共同风险——资产价值下降,风险在于持有相同或相关资产的代理人。

传染图理论

让我们从图论的角度分析默认传染的影响。如果额外的链接有助于在网络中的节点之间分配与它们的吸收能力成比例的损失流,那么就抵御传染的能力而言,网络将变得更加健壮。只有在以下非常严格的要求下,才能保证轻微的特殊冲击,才能保证连通性的有利效果:

1)   损失流在网络N上展开,沿着有向树

2)所有节点具有相同的吸收能力和向外扩张能力。


      DeFi 去风险:分析去中心化系统中的系统性风险

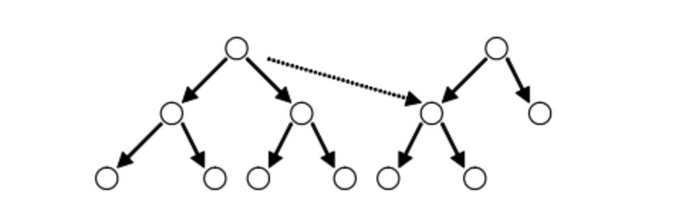
在上图中,特异性冲击击中虚线的起始节点。链接的添加对以前未触及的网络部分造成了一些损害。因此,损失的负担由更多的节点承担,从而减少了流量对每个单个节点的影响。但是,如果影响太大,则增加的连接性会导致连级故障。

在闭合路径和循环中,网络会产生不均匀的损失分配。


      DeFi 去风险:分析去中心化系统中的系统性风险

闭合路径情况

将 B 连接到 E 的虚线创建了一条闭合路径,使 E 承载损失,同时减少可能流向 C 和 D 的流量。如果 C、D 和 E 具有相同的吸收能力,则虚线的作用使系统能够更好地处理传染。

同样的原因也适用于循环路径。在下图中,虚线创建了 A => B => D => A 的循环,损失减少到 E。


      DeFi 去风险:分析去中心化系统中的系统性风险

循环路径情况

因此,连接度低的网络更可能是树状网络,而连接度高的网络更可能是循环和闭合路径。更高程度的连通性导致借贷行为更加多样化。将链接添加到具有高度连通性的网络会增加循环和封闭路径的数量,因此会降低去中心化多样性的好处。因此,当网络的连通性达到顶峰时,多样化的好处也得到了最大化。

基于以上情况,我们可以提出一个理论:

在有向链路数量与节点数量比例较低的网络中,连接将会增加。对传染最具弹性的网络结构,则是具有最高连接可能性的网络结构。


      DeFi 去风险:分析去中心化系统中的系统性风险

显示高阶网络对银行所经历的最大冲击的影响

为了展示高阶网络与所经历的最小/最大冲击之间的关系,我们使用传统的银行网络来模拟市场冲击和传染事件,其灵感来自Stuart Gordon Reid。我们创建了一个包含大约 50 家银行的银行间网络模型。然后我们统一生成一个介于 50 到 2500 之间的随机数来表示网络中的连接数(节点是随机选择的)。当连接数等于 50 时,每个 bank 仅连接到另一个 bank。理论上,当连接数等于 2500 时,所有 bank 都是互连的。

创建网络后,模拟对系统的冲击并观察传染传播。随着冲击通过网络传播,冲击的影响与连接到每家银行的邻居数量成正比。

这些图表有助于可视化趋势并且已经过平滑处理。从这个初步的实验中,我们可以看到网络规模的增加与网络稳定性的整体增加呈正相关,但在某个点之后,稳定性会恶化。这是相当直观的,因为完全连接的网络最容易受到系统性风险传染的影响。这是一些方面,也可以转化为加密网络,每个验证节点代表每个银行节点,尽管这个模型非常简单。


      DeFi 去风险:分析去中心化系统中的系统性风险

显示高阶网络对银行所经历的最小冲击的影响

区块链环境中的系统性风险

到目前为止,我们只讨论了广义节点网络的系统性风险,这些风险可以归因于各种网络,宏观和微观等。但是,系统性风险只会随着系统变得更加复杂而增加。区块链技术已经从根本上改变了衍生品的市场结构。相比之下,中央交易对手通过创建容易失败的大型实体来创造风险。区块链去中心化清算功能可以降低过度中心化带来的风险。理想的基于区块链的系统将清算功能去中心化,并将这些任务分配给网络成员,而不会造成不平等的压力。

让我们考虑一个去中心化清算系统,它通过默认传染来减轻系统性风险。实际清算功能的主要挑战是确定可用资金和解决对支付资历的分歧。在区块链清算机制中,这两个问题是自动解决的,而不是通过中介,从而减少了摩擦。因此,区块链系统既提高了违约资产的回收率,又增加了银行对风险交易的责任。

唉,我们发现自己在重复一句古老的格言:闪光的不是金子。由于对中心化治理形式不可避免的需求,以及共识机制具有具体权力的趋势,区块链系统只有一种去中心化的错觉。由于高杠杆和流动性不匹配,DeFi 尤其表现出许多漏洞。在某些应用中,如果发生冲击,内置的互连性会导致级联故障的可能性很高。


      DeFi 去风险:分析去中心化系统中的系统性风险

DeFi 和 CeFi 在加密领域的主要区别在于,金融服务是通过智能合约实现自动化,还是由中心化中介机构处理以及稳定币设计的处理

系统性风险缓解

预言机系统是智能合约的喉舌,这经常被认为是一个关键的故障点。可以在流行的去中心化预言机服务 Chainlink 中找到最好地检验这一主张的案例研究。

Chainlink 通过三管齐下的方法有效地将我们的理论应用于风险效率高的去中心化系统:

  1. 分布式数据源

  2. 分布式预言机

  3. 使用受信任的硬件。

我们现在将更仔细地研究分布式预言机如何帮助使其成为一个传染性风险容忍系统。 

Chainlink 构建了一个模块化而非单一的系统,以确保风险不会集中在一个预言机中。这将创建n 个不同的预言机节点 { O 1 , O 2 , ..., O n } 的集合,每个预言机都联系自己不同的数据集源。

Chainlink 防止级联故障的最佳方法之一是防止预言机相互复制。想象一个预言机O z 观察另一个预言机O i的响应并复制它。这可能会通过减少数据源的多样性导致安全性减弱,从而导致整个系统产生错误的响应。Chainlink 通过提交/显示算法避免了这种情况。下面的算法显示了一个保证可用性的协议,给定 3 f + 1 个节点。只有在做出所有承诺之后,Oracle 响应才会重新提交,并暴露于潜在的复制中。这排除了作弊预言机复制另一个预言机的响应。


      DeFi 去风险:分析去中心化系统中的系统性风险

来源:chainlink白皮书

给定总共 3f + 1 个节点,最多f将有缺陷,这意味着至少有 2 f + 1 将在步骤 4 中发送承诺。这些承诺中最多f来自有问题的节点,因此至少有f + 1 来来自可信赖的节点。由于单个值A上的至少一个f + 1 承诺必须来自诚实节点,因此很明显,A或聚合响应将作为算法的结果是准确的。

在认识到可能存在故障节点的同时,难以就值A达成共识,这类似于拜占庭将军的问题。

缺乏共识是系统性风险

拜占庭容错(BFT)共识协议是拜占庭式的解决方案。

拜占庭将军问题,由Lamport、Shostak 和 Pease在 1982 年提出。该问题指出,有一支军队散布在城市周围,由一名将军和 n-1 名中尉组成。军队正准备攻击一个共同的敌人,但尚未决定何时发动攻击。只有全军同时冲锋,攻击才会成功。通过来回发送信号,将军和他的副手必须就最佳打击时机达成一致。然而,有些副官是叛徒,这意味着他们可以对自己的决定撒谎。

拜占庭将军的问题与区块链问题类似,网络(将军和他的副手)必须就广播交易(攻击的时间)达成一致,即使某些节点不可靠(副手背叛)。拜占庭容错是系统的一种属性,它允许容忍来自拜占庭将军问题的给定数量的故障,从而降低通信故障的风险。

传统的金融系统不是 BFT 系统。TradFi 仍然成为不诚实或错误信息输入的牺牲品,因此,灾难接踵而至。这个问题是如此普遍,以至于墙上的一个裂缝最终可能升级为整个房子的破坏,可以这么说。

如何保障未来

改善 DeFi 的底层基础设施,需要公共监管机构和私营部门参与者的广泛努力。过去,监管倾向于将两者结合起来,更全面的政府监管时期源于系统性危机,或私营部门未能执行自我强加的标准。

一般而言,自我监管在限制危机和保护客户方面越有效,国家监管就越难获得政治支持。因此,整个 DeFi 监管框架将受到私营部门自我监管举措的类型和有效性的重大影响。风险保险公司、DeFi 服务提供商和最终用户都将从系统安全水平的提高中受益,这会产生很多激励机制。保险提供商已经在指导智能合约安全最佳实践方面做出了贡献,但是,深思熟虑的尝试永远是有空间的,开发保险产品,开发标准和技术以降低灾难性的可能性事件及其附带损害都是值得的。

最后,与传统金融相比,更高程度的数字化、透明度、自动化和拜占庭容错是 DeFi 在缓解系统性风险方面的主要技术优势。去中心化清算功能并以成比例的方式在网络成员之间分配这些杂务(即:定向链接≤节点)是理想的基于区块链的风险缓解解决方案。DeFi 中使用的开源代码和可公开验证的账本越多,就越容易构建自动化风险模拟、压力测试、监控、预警信号、断路器、保险范围、索赔处理、报告和其他集成形式的风险管理。

文/TheTieLabs

编译/ S.L

郑重声明:本文版权归原作者所有,转载文章仅为传播信息之目的,不构成任何投资建议,如有侵权行为,请第一时间联络我们修改或删除,多谢。

推荐文章

暴跌中币价相当坚挺,从HIP、Vaults以及Token模型的角度再谈Hyperliquid

自2014年门头沟事件起,中心化交易平台的腐败与市场操纵问题便始终困扰着Crypto的所有参与者。...

coincaso
292 10个月前

Ondo背靠特朗普与华尔街,RWA迎来爆发?

编者按:Ondo Finance 推出 Layer 1 公链 Ondo Chain,推动 RWA...

coincaso
314 10个月前

今日推荐 | 速览Berachain背后助推器Royco:TVL突破30亿美元,跃居Yield协议第二!

过去一年,DeFi生态简直是“开挂”状态,资金如洪水般涌入,机构疯狂布局,大家都在说:这波赚钱机会...

coincaso
323 10个月前

Uniswap V4 正式上线后 ,有哪些值得关注的创新项目?

编者按:文章介绍了 Uniswap V4 的创新性功能,重点阐述了 Hooks 的模块化特性,使开...

coincaso
314 10个月前

波场TRON行业周报:“就职典礼”利好出尽,TRX成WLFI战略储备之一

一.前瞻1. 宏观层面总结以及未来预测市场普遍预计,美联储将在1月30日的会议上决定维持当前的联邦...

coincaso
304 10个月前

来火币HTX过肥年:春节乐翻天,$60万红包抢不停,更多新春福利待领取

春节将至,火币HTX携手波场TRON生态推出“春节乐翻天,$60万红包抢不停”活动,用数字红包传递...

coincaso
292 10个月前