硬核:深入分析 TWAMM 做市商的数学原理
从数学角度论证和解释 Uniswap 创始人与 Paradigm 研究团队设计的全新做市模型 TWAMM 的工作原理。
最近,Paradigm 研究合伙人 Dave White、Dan Robinson 与 Uniswap 创始人 Hayden Adams 一起合作设计了一个全新的做市模型「时间加权做市商 TWAMM」(The Time-Weighted Average Market Maker)。根据其发表文章介绍,TWAMM 可以在以太坊上有效地交易大额订单,工作原理是将长期大额订单分解为无限多个无限小的虚拟订单,在一定时间内使用嵌入式 AMM 平滑地执行这些交易。
关于 TWAMM 的虚拟交易所涉及的数学,Dave White 在文中并没有多费笔墨,只在最后给出了非常简单的数学结论,这对于理解 TWAMM 的数学原理非常不利。本文将重点对 TWAMM 的数学原理进行严格的论证和解释,至于 TWAMM 模型详细的设计原理,可以前往 Paradiagm 官网查看,本文不再做详述。
定义
假设 TWAMM 执行大额虚拟交易需要 N 个区块,出售 X 的池子以每区块 xrate 的速率出售,而出售 Y 的池子以每个区块 yrate 的速率出售。因此,在整个期间售出的 X 总量为 xin=Nxrate,售出的 Y 总量为 yin=Nyrate。
同时,我们将此时间段嵌入 AMM 的初始储备 xreserve 和 yreserve 分别表示为 x0=xammStart 以及 y0=yammStart。
按照 TWAMM 的设计,大额订单是随着区块进行交易的,每个区块出售 xrate 得到 yout,或者出售 xrate 得到 yout,同时 AMM 会更新 xreserve 和 yreserve 的值,整个过程总共交易 N 次。
值得注意的是,AMM 的每个区块交易总是遵循恒定乘积做市。

公式
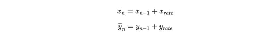
首先,在执行第 n-1 区块的交易后,我们假设此时 AMM 的 xreserve 和 yreserve 值分别为 xn-1 和 yn-1。
接下来执行第 n 区块的交易,X-Pool 和 Y-Pool 分别向 AMM 输入 xrate 和 yrate,命:

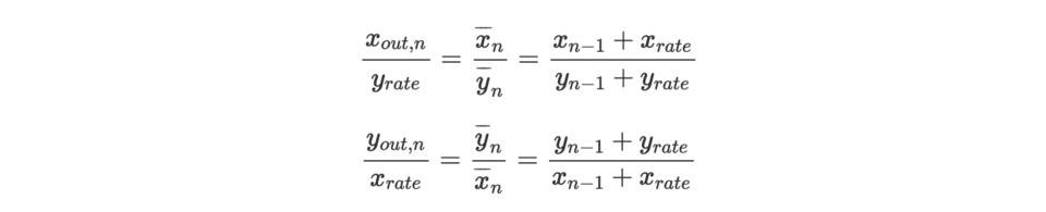
因为 xrate 和 yrate 非常微小,且区块的交易 AMM 遵循恒定乘积做市商,我们可以得到,

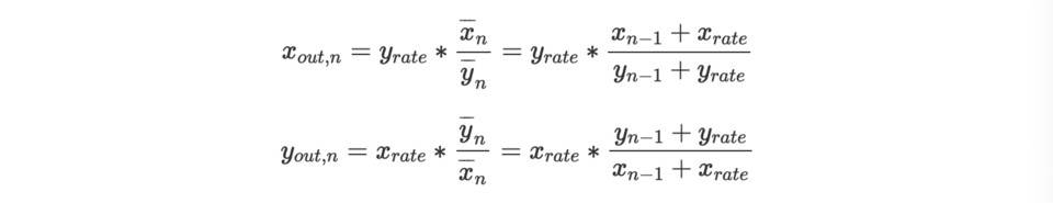
化简,

在得到 xout,n 和 yout,n 的值后,我们进一步可以获得 n 区块的交易后 AMM 的 xreserve 和 yreserve 值 xn 和 yn,

通过观察,我们发现 xn*yn=xn-1*yn-1,这正好符合 AMM 的循恒定乘积做市的前提要求。
令, xn*yn=xn-1*yn-1=...= x1*y1=x0*y0=k,这是一个常数。
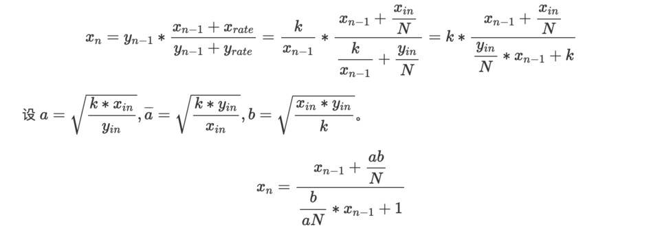
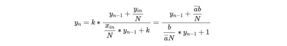
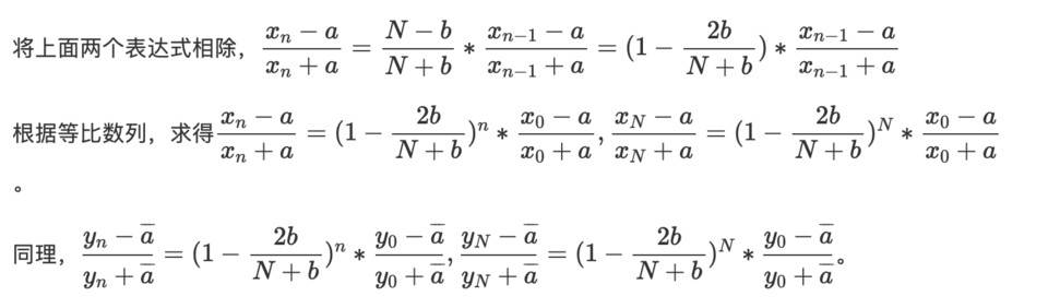
分式线性递归
先对 xn 求得一般公式,并获得 xammEnd=xN 的值,yn 同理。

yn 的分式线性递归表达式如下:

解
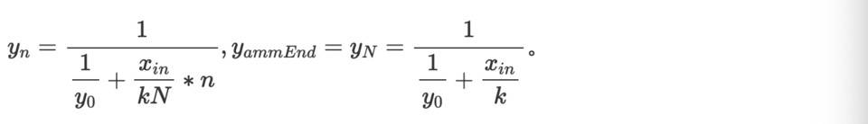
首先,若 yin 等于 0,xin 不等于 0,则

而

计算得到,

而,

xin 等于 0,yin 不等于 0 时,讨论同上。
若 xin 和 yin 都不等于 0,对于一般的分式线性递归,我们可以采用不动点的方法求解。

进一步计算,

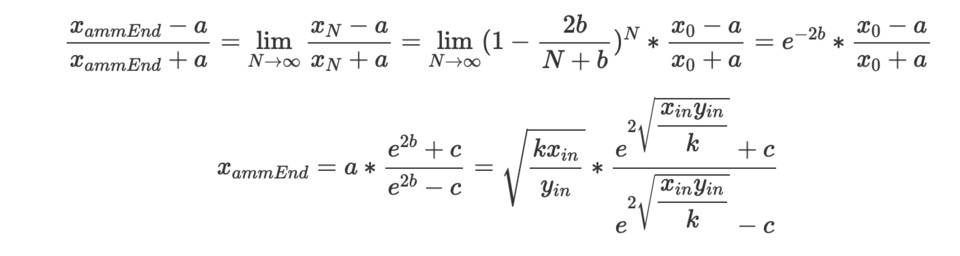
极限
TWAMM 的基本假设是将长期大额订单分解为无限多个无限小的虚拟订单,也即是 N 可以取无穷大,这时候可以获得 xN 的极限值。

其中,

相似的,

最后,经过简单的验证 xammEnd*yammEnd=xammStart*yammStart=k, 依然满足 AMM 的恒定乘积。
至此,我们完成了 TWAMM 的数学原理严格的论证和解释,并得到了与 「时间加权做市商 TWAMM」 一文完全相同的结论。
撰文:luffy
郑重声明:本文版权归原作者所有,转载文章仅为传播信息之目的,不构成任何投资建议,如有侵权行为,请第一时间联络我们修改或删除,多谢。
暴跌中币价相当坚挺,从HIP、Vaults以及Token模型的角度再谈Hyperliquid
自2014年门头沟事件起,中心化交易平台的腐败与市场操纵问题便始终困扰着Crypto的所有参与者。...
今日推荐 | 速览Berachain背后助推器Royco:TVL突破30亿美元,跃居Yield协议第二!
过去一年,DeFi生态简直是“开挂”状态,资金如洪水般涌入,机构疯狂布局,大家都在说:这波赚钱机会...
Uniswap V4 正式上线后 ,有哪些值得关注的创新项目?
编者按:文章介绍了 Uniswap V4 的创新性功能,重点阐述了 Hooks 的模块化特性,使开...
波场TRON行业周报:“就职典礼”利好出尽,TRX成WLFI战略储备之一
一.前瞻1. 宏观层面总结以及未来预测市场普遍预计,美联储将在1月30日的会议上决定维持当前的联邦...
来火币HTX过肥年:春节乐翻天,$60万红包抢不停,更多新春福利待领取
春节将至,火币HTX携手波场TRON生态推出“春节乐翻天,$60万红包抢不停”活动,用数字红包传递...
链闻ChainNews
文章数量
198粉丝数
0