DeFi 流动性提供商的基本赌注
DeFi协议依赖流动性,因此为任何愿意为其平台增加流动性的人建立了经济激励机制。在我们的低利率宏观经济环境中,闲置现金几乎赚不到钱,DeFi收益率变得非常诱人。然而,有抱负的流动性提供者可能会发现,理解和预测其策略的盈利能力是复杂和令人困惑的。
在本文中,分解了影响盈利能力的因素,探讨了它们之间的权衡,并了解了不同流动性提供策略可用的各种风险回报状况。

流动性提供者的基本押注
上述不平等代表了流动性提供者的基本押注:他们押注收益(左)将超过损失(右)。本文将围绕上述不等式以及影响其中各变量的各个子因素展开。
变量和子因素可能会根据使用的特定流动性池而有所不同。即使在每一种流动性池类型中,协议也可能会有变化,从而引入新的因素。因此,最好阅读文档。流动性池的例子包括:
去中心化交易所(DEX)的流动性池:Pancakeswap、Uniswap、Curve等。
双边借贷协议中的借贷池:Aave、Compound、Cream Finance等。
其他流动性池类型(宽松定义):Liquity 的稳定池(Lending)、Unslashed Finance 的 Capital Buckets(Insurance)
LP代币价值
当向池中添加流动性时,用户是在协议的智能合约中锁定代币。作为交换,协议通常为用户提供流动性提供者(LP)代币,以代表该池的部分所有权。这些LP代币可以在用户希望解锁流动性时在稍后的日期进行交换。
LP代币的价值取决于3个主要变量:池中代币的价格收益、无常损失以及池中赚取并分配给LP代币持有者的费用。下面的图表总结了接下来几节的内容,并强调了影响每个变量的子因素。

影响LP代币价值的变量和子因素
代币价格上涨
由于LP代币持有者是流动性池的所有者,他们基本上持有池中持有的代币多头头寸。池中代币类型的数量各不相同。通常,借贷池有一种代币类型,而大多数去中心化交易所的每个流动性池按特定比率有两种代币类型。当标的代币的价格升值时,LP代币的价值也会升值。
无常损失
在单个代币池中,代币价值的x%增益/损失将导致LP代币值的x%增益/损失。与此同时,多代币池经历了一种称为失常损失的效应,该效应放大了百分比损失,同时抑制了代币价格的百分比收益。换句话说,任何基础代币价值的x%收益/损失将导致LP代币价值的≤x%收益或≥x%损失。

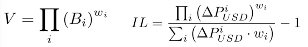
使用XYK模型的双代币50/50流动性池的DEX的价格比率变化与无常损失的关系
由上式可知,IL是流动性池代币对汇率变动的函数:价格比率变化越大,IL越大。因此,具有高度相关代币的矿池经历较少的 IL,而具有非对称代币价格变动的矿池经历较大的 IL。当IL只是意识到退出资金池,重要的是价格比率的入口和出口点的区别。进出点之间的波动可以忽略不计。
在了解了IL后,人们可能很容易对流动性供应产生反感。因此,将其规模置于不同背景下是很重要的:在标准 XYK 池(例如 Uniswap V2、Sushiswap、Pancakeswap)中,价格比率翻倍只会导致 5.72% 的 IL。为了更好地理解IL,用户可以使用这个计算器来探索数字。请注意,对于不基于 XYK 模型(例如 Balancer),没有 50/50 组成或应用集中流动性(例如 Uniswap v3)的池,所示的非永久性损失的方程式和计算是不同的。

Balancer的值函数(左)和临时损失方程(右)
为了说明非永久性损失计算在其他池类型中有何不同,我们看一下 Balancer。Balancer 池是多代币,不一定是 50/50,它们的池由上面显示的价值函数控制。尽管如此,IL 与代币价格的不对称变化之间的一般关系仍然成立。
费用收益/收入分成
流动性池使dApp能够向用户提供服务并收取费用,从而产生收入。然后,这部分收入将分配给流动性提供者。由于协议通常也会将收入分配给其他利益相关者,因此了解收入共享结构以及作为LP用户得到了多少收入是很重要的。收入通常与:
治理代币的持有者(通常通过销毁代币供应,这是传统金融中股票回购的概念)
协议储备(储备可能有预先确定的特定用途,或者可能由治理代币持有者监督)
-
协议开发团队
LP的预期费用收入可以看作是流动性池中供求关系的函数。更高的需求会增加收入,而更大的供给(池规模)意味着收入必须在更多人之间分享。

上面的表格总结了可用于确定当前供应和需求的常见指标。然而,更有趣的是未来的需求和供应。
对冲IL
对冲策略可以选择性地减少IL。从本文前面的IL图可以清楚地看出,IL是双向的和非线性的。因此,像永久和未来这样的线性工具不起作用。
为了模拟IL的非线性特性,用户使用了一些期权。期权是非线性的,因为损失以购买期权的价格(期权溢价)为上限,而收益不受限制。同时,可以通过购买具有不同执行价格的看涨期权和看跌期权来模仿和粗略地对冲 IL 的双向性质及其形状。然而,期权缺乏流动性可能会阻碍这一策略。
还有其他新兴的IL套期对冲方法,例如为 IL 对冲创建双边保险市场。无论用户的对冲方法如何,只有当用户从套期保值中获得的预期节省超过使用的套期保值工具的成本时,才进行套期对冲。
LP代币挖矿
由于协议需要流动性来发挥作用,许多协议通过为LP代币持有者创造挖矿机会来激励流动性的提供。然而,并非所有LP代币都有流动性挖矿机会。
在实践中,这通常涉及将 LP 代币锁定在保险库中或将它们抵押并以可变的 APR 超时接收其他代币。LP 代币和产生的收益可以在以后撤回。有些dApp不将此作为单独的步骤。例如,流动性稳定池的提供者会自动获得LQTY奖励。
挖矿机会通常可以在以下方面找到:
为用户提供LP代币的相同的dApp(例如,Yearn Finance、Beefy Finance、Autofarm)
采用一系列不同策略来提高产量的挖矿 dApp。(例如,Yearn Finance、Beefy Finance、Autofarm)
dApps试图在一个主要的DEX上增加原生代币的流动性池。当用户从Curve去中心化交易所中持有usd3crv LP代币时,Alchemix 会提供奖励)
LP代币挖矿的产量取决于许多因素:
提供 APR/APY
LP代币担保池和保险库通常引用APY(年百分比收益率)和/或APR(年百分比率)数字。虽然两者都表示每年的收益,但APR不考虑复利的影响,而APY考虑。因此,APR < APY。较不成熟的dApps通常在早期提供更高的APR/ APYs来吸引流动性。

在考虑APY时,还应该理解计算APY时所做的假设。APY随复合频率的不同而不同,频率越高,APY越高。为了得到有吸引力的APY数据,一些保险库在计算中假定高复利频率,而实际上并没有按该频率复利(一种糟糕的市场做法)。
因此,额外的好处是,用户可以在给定的频率上手动合成以实现广告的APY。手动复利是麻烦和昂贵的,因为在提取收益并将其添加到金库时会产生交易费用。
挖矿类型
LP代币挖矿产生的收益通常来自其他代币类型,有时是多种代币类型。因此,收益率的价值可能会随着时间的推移而改变。同时,这也会导致APR/ APY随着奖励代币类型的价值而波动。因此,用户必须知道自己将获得什么奖励代币,以及是否存在多种代币类型,从而了解它们之间的收益如何分配。

Polygon上的自动挖矿截图。总的APY被分解为dApp代币(pAUTO APR), L2代币(WMATIC APR)和基础LP代币(日APR)
常见的奖励代币类型包括:
原生dApp代币 (例如 Pancakeswap 中的 $CAKE,Autofarm 金库中的 $AUTO)
L2 代币(例如,侧链 Polygon 向 Polygon 上托管的 Aave 中的 LP 提供 $MATIC)
-
基础LP代币(像Beefy Finance这样的可能会自动将奖励代币定期转换为LP代币,这是其挖矿策略的一部分)
简而言之,最好是找到能够提供用户看好的奖励代币的挖矿机会。如果用户不看好奖励代币,就可以定期将它们转换为另一个代币。为了让这在经济上合理,用户的交易规模应该足够大,这样交易成本就不会过度侵蚀收益,而且用户可能想要波动较小的奖励代币,不会在转换之间失去重要的价值。
流动性池规模和奖励供应
分配的奖励代币的供应通常是固定的,并遵循奖励分配计划。为了吸引早期的流动性和激励早期的采用者,最初的奖励通常很高,但随着时间的推移会逐渐减少。此外,随着资金池规模的增长,奖励将分配给更多的持有者。随着时间的推移,这可能导致APR/ APY和产量的下降。
代币对配置文件(权衡)
虽然我们都想要高产、高费用、低风险和低无常损失的机会,但这些机会很少存在。即使有,它们也只存在很短的时间。下表给出了一些概括,希望它能说明一些流动性提供者必须考虑的权衡:
流动性提供者为代币对面临的权衡
从表格中,用户可以理解为什么小盘代币-小盘代币对很少存在:自然,首先用户对这样一个池的需求很少,对流动性提供者的激励也很少。这意味着池小,滑点较高,进一步阻止任何潜在的用户。
当考虑农业产量时,考虑是谁提供的以及为什么提供是很有用的。代币创造者和dApps希望他们的原生代币具有流动性,因此鼓励他们的代币和大型代币或稳定币之间的主要DEX中的流动性对。DEX相互竞争流动性,希望提供低滑点。因此,它们鼓励为通常有最高自然需求的池提供流动性:那些在大型代币和稳定币之间的池。
最终的想法
对于流动性提供者来说,处理许多因素和权衡可能是难以应付的。然而,把它画出来会给思维过程带来清晰和结构化。虽然仍然需要重要的定性判断,但定量的历史数据可以作为决策的指导。有了链上数据和公共数据,用户可以很容易地检查出与讨论因素相关的指标。
郑重声明:本文版权归原作者所有,转载文章仅为传播信息之目的,不构成任何投资建议,如有侵权行为,请第一时间联络我们修改或删除,多谢。
暴跌中币价相当坚挺,从HIP、Vaults以及Token模型的角度再谈Hyperliquid
自2014年门头沟事件起,中心化交易平台的腐败与市场操纵问题便始终困扰着Crypto的所有参与者。...
今日推荐 | 速览Berachain背后助推器Royco:TVL突破30亿美元,跃居Yield协议第二!
过去一年,DeFi生态简直是“开挂”状态,资金如洪水般涌入,机构疯狂布局,大家都在说:这波赚钱机会...
Uniswap V4 正式上线后 ,有哪些值得关注的创新项目?
编者按:文章介绍了 Uniswap V4 的创新性功能,重点阐述了 Hooks 的模块化特性,使开...
波场TRON行业周报:“就职典礼”利好出尽,TRX成WLFI战略储备之一
一.前瞻1. 宏观层面总结以及未来预测市场普遍预计,美联储将在1月30日的会议上决定维持当前的联邦...
来火币HTX过肥年:春节乐翻天,$60万红包抢不停,更多新春福利待领取
春节将至,火币HTX携手波场TRON生态推出“春节乐翻天,$60万红包抢不停”活动,用数字红包传递...